Приказ Министерства имущественных отношений и государственного заказа Тамбовской области от 21.02.2025 № 94
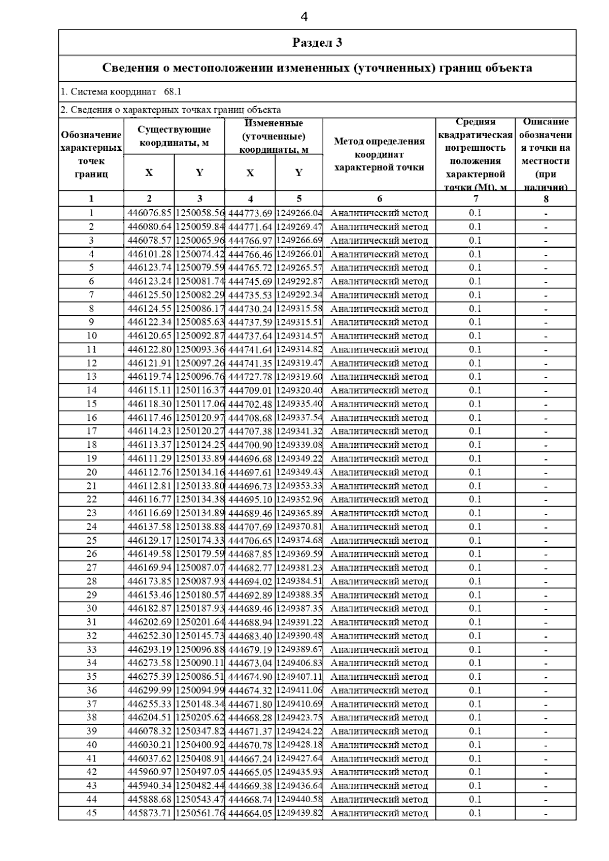
"О внесении изменений в приказ комитета по управлению имуществом Тамбовской области от 06.12.2021 № 821 "Об изменении охранной зоны газораспределительной сети и наложении ограничений (обременений) на входящие в нее земельные участки"
(Зарегистрирован 21.02.2025 № 94)
"О внесении изменений в приказ комитета по управлению имуществом Тамбовской области от 06.12.2021 № 821 "Об изменении охранной зоны газораспределительной сети и наложении ограничений (обременений) на входящие в нее земельные участки"
(Зарегистрирован 21.02.2025 № 94)
Номер опубликования: 6801202502280002
Дата опубликования:
28.02.2025
