Приказ Министерства имущественных отношений и государственного заказа Тамбовской области от 17.02.2025 № 87
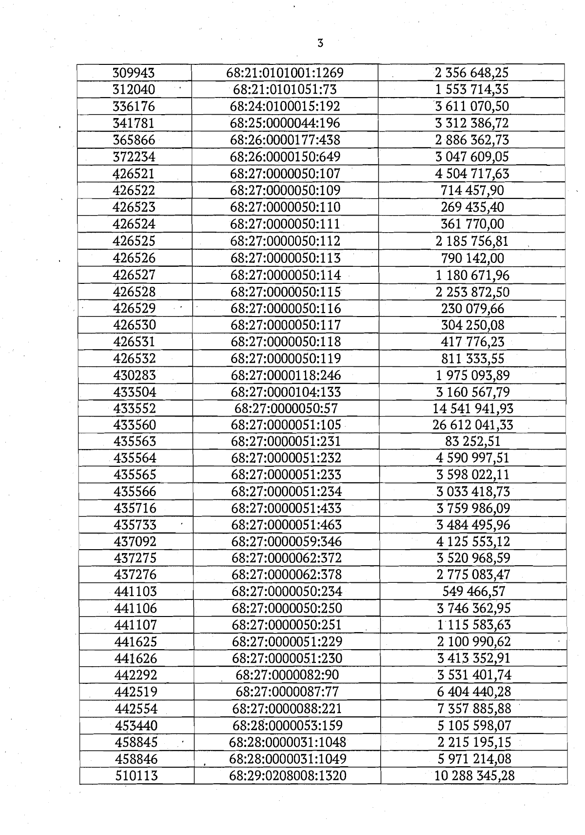
"О внесении изменений в приложение к приказу комитета по управлению имуществом Тамбовской области от 17.11.2020 № 667 "Об утверждении результатов определения кадастровой стоимости объектов недвижимости (за исключением земельных участков), расположенных на территории Тамбовской области"
(Зарегистрирован 17.02.2025 № 87)
"О внесении изменений в приложение к приказу комитета по управлению имуществом Тамбовской области от 17.11.2020 № 667 "Об утверждении результатов определения кадастровой стоимости объектов недвижимости (за исключением земельных участков), расположенных на территории Тамбовской области"
(Зарегистрирован 17.02.2025 № 87)
Номер опубликования: 6801202502200013
Дата опубликования:
20.02.2025
