Официальное опубликование правовых актов
ОФИЦИАЛЬНОЕ ОПУБЛИКОВАНИЕ
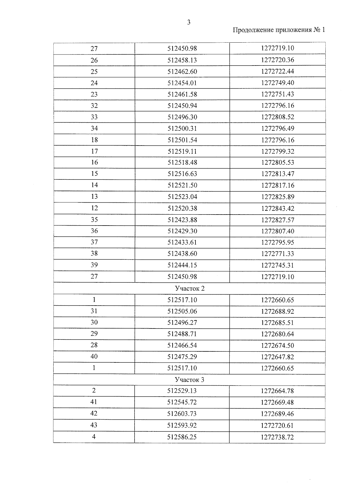
Приказ Департамента по государственной охране объектов культурного наследия Тамбовской области от 11.02.2025 № 67
"Об установлении зон охраны объекта культурного наследия регионального значения "Никольская церковь" (Тамбовская область, г. Моршанск, ул. Калинина, д. 136) и утверждении требований к градостроительным регламентам в границах территорий данных зон"
(Зарегистрирован 11.02.2025 № 67)
Номер опубликования: 6801202502140009
Дата опубликования: 14.02.2025
Страница №5 из 12:
Увеличить