Официальное опубликование правовых актов
ОФИЦИАЛЬНОЕ ОПУБЛИКОВАНИЕ
Приказ Департамента по государственной охране объектов культурного наследия Тамбовской области от 20.01.2025 № 22
"Об установлении зон охраны объекта культурного наследия регионального значения "Доходный дом М.С. Михайлова" (Тамбовская область, г. Тамбов, ул. Ленинградская, д. 34) и утверждении требований к градостроительным регламентам в границах территорий данных зон"
(Зарегистрирован 20.01.2025 № 22)
Номер опубликования: 6801202501230004
Дата опубликования: 23.01.2025
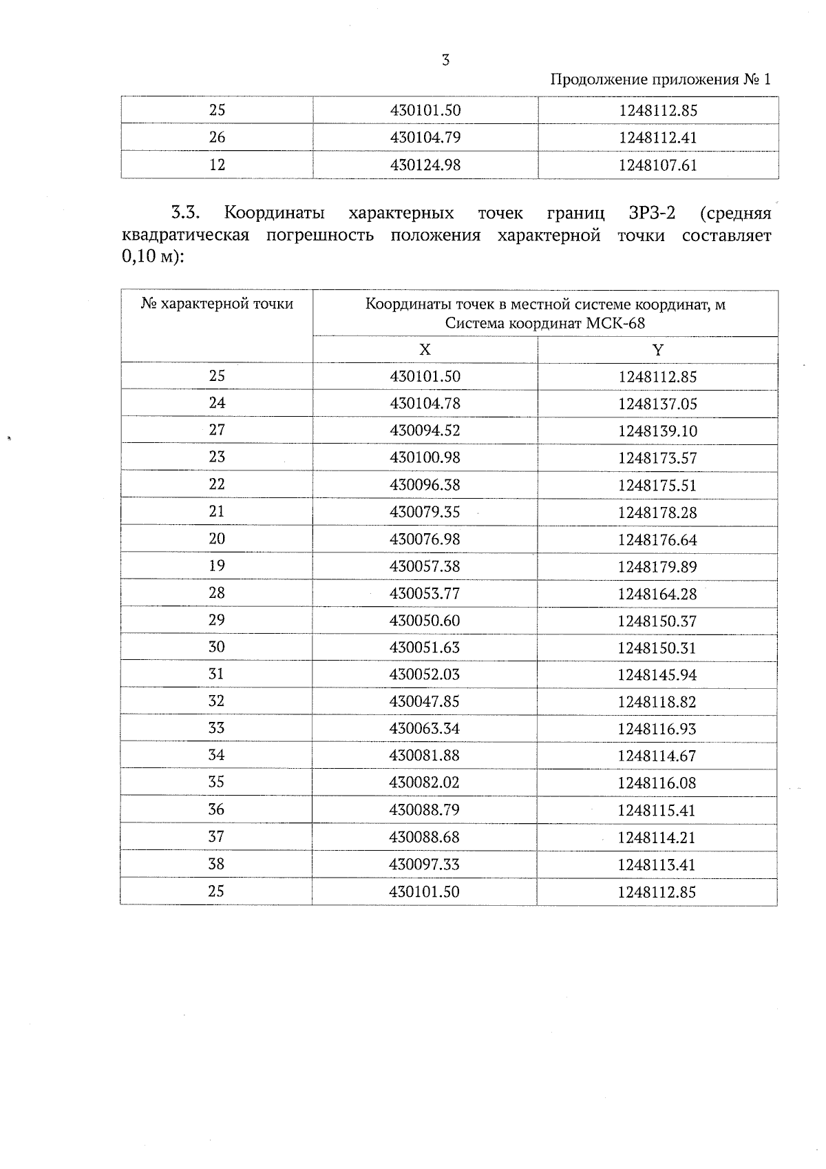
Страница №5 из 11:
Увеличить