Официальное опубликование правовых актов
ОФИЦИАЛЬНОЕ ОПУБЛИКОВАНИЕ
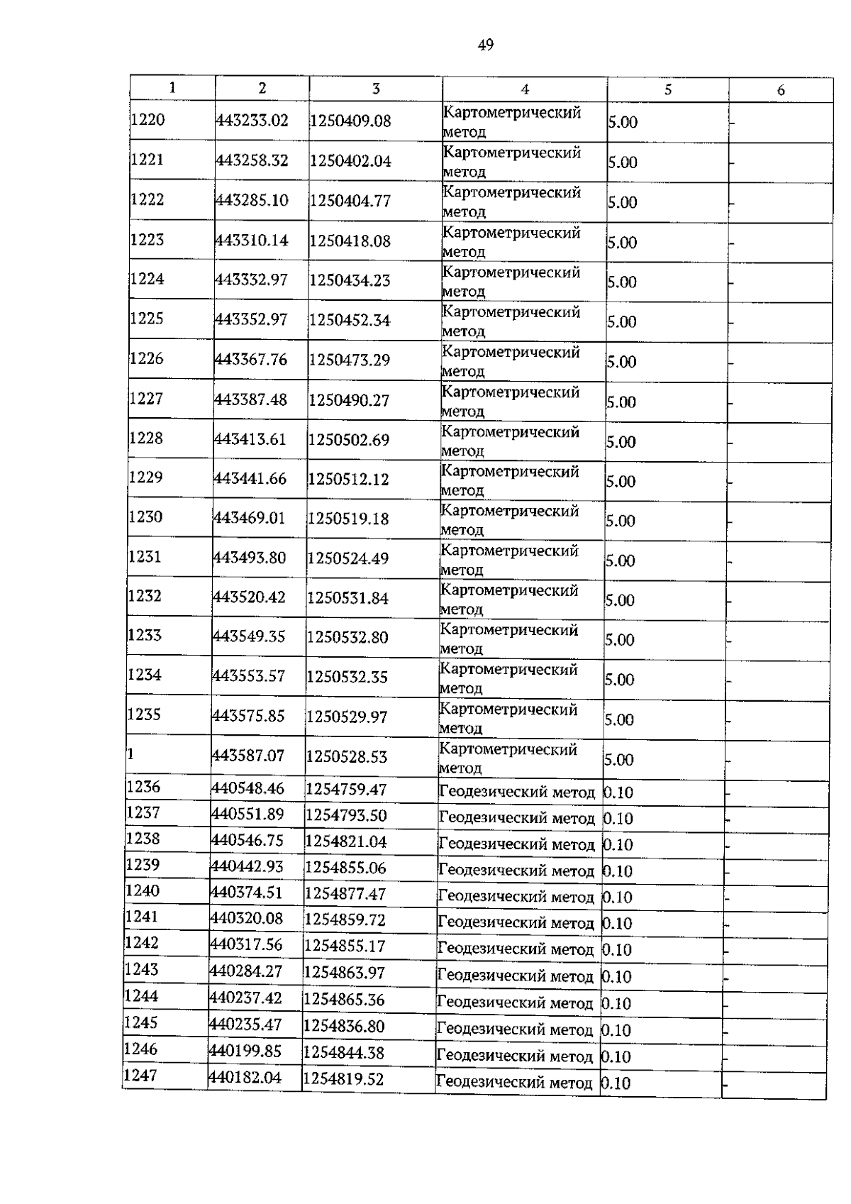
Приказ Министерства экологии и природных ресурсов Тамбовской области от 26.12.2024 № 488
"Об изменении границ лесопаркового зеленого пояса вокруг города Тамбова Тамбовской области"
(Зарегистрирован 26.12.2024 № 488)
Номер опубликования: 6801202412270006
Дата опубликования: 27.12.2024
Страница №50 из 198:
Увеличить