Официальное опубликование правовых актов
ОФИЦИАЛЬНОЕ ОПУБЛИКОВАНИЕ
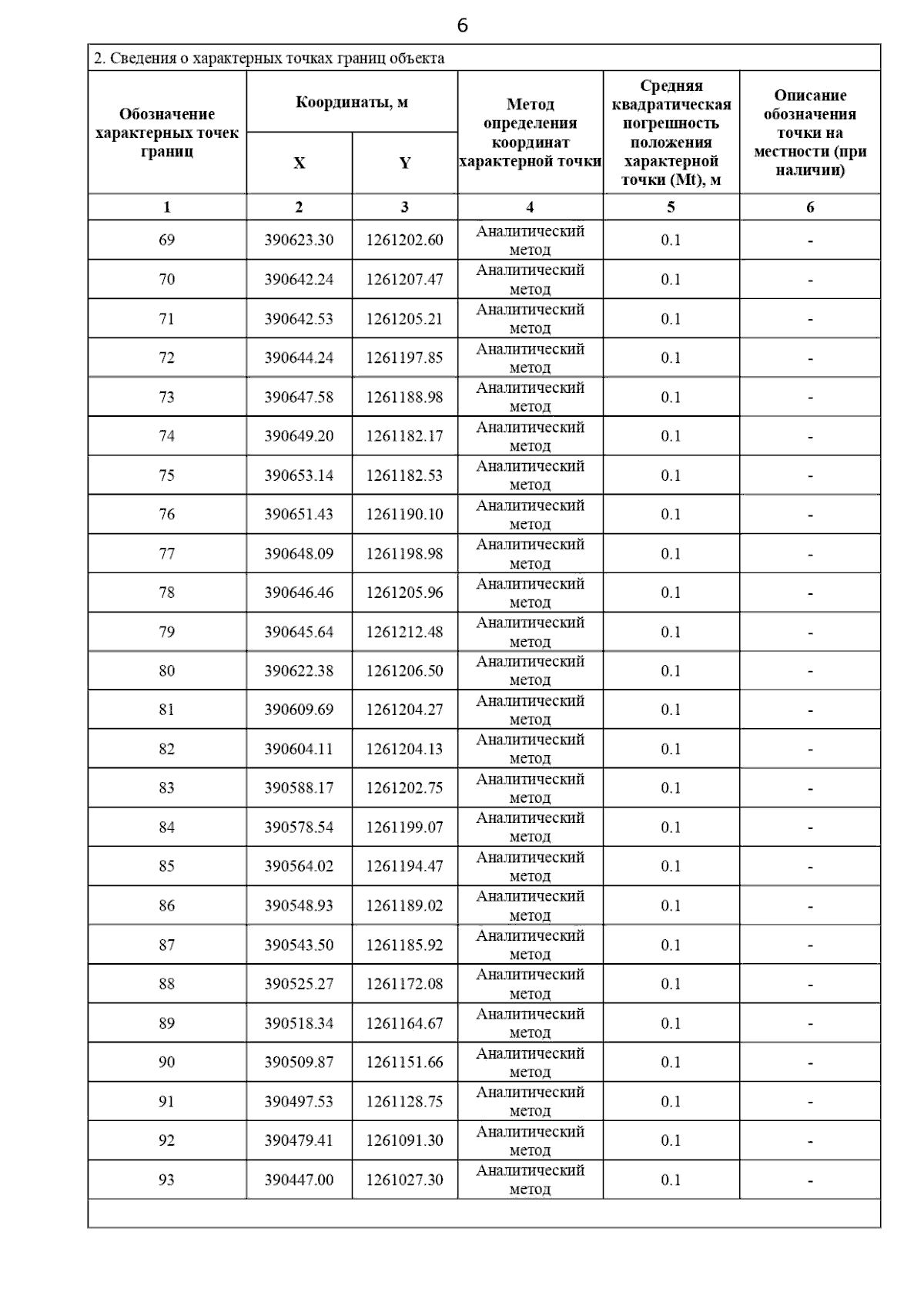
Приказ Министерства имущественных отношений и государственного заказа Тамбовской области от 17.12.2024 № 755
"Об установлении охранных зон газораспределительных сетей и наложении ограничений (обременений) на входящие в них земельные участки"
(Зарегистрирован 17.12.2024 № 755)
Номер опубликования: 6801202412240039
Дата опубликования: 24.12.2024
Страница №113 из 158:
Увеличить