Официальное опубликование правовых актов
ОФИЦИАЛЬНОЕ ОПУБЛИКОВАНИЕ
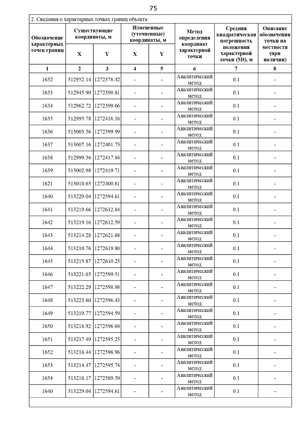
Приказ Министерства имущественных отношений и государственного заказа Тамбовской области от 12.12.2024 № 731
"О внесении изменений в приложение к приказу комитета по управлению имуществом Тамбовской области от 27.10.2022 № 636 "Об установлении охранной зоны сети газораспределения и наложении ограничений (обременений) на входящие в нее земельные участки"
(Зарегистрирован 12.12.2024 № 731)
Номер опубликования: 6801202412200016
Дата опубликования: 20.12.2024
Страница №77 из 199:
Увеличить