Официальное опубликование правовых актов
ОФИЦИАЛЬНОЕ ОПУБЛИКОВАНИЕ
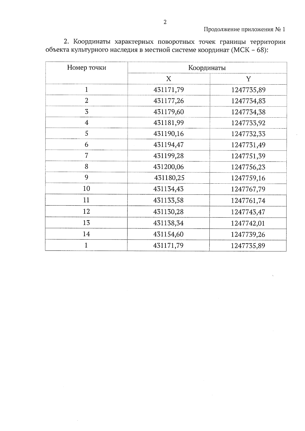
Приказ Департамента по государственной охране объектов культурного наследия Тамбовской области от 11.12.2024 № 444
"О включении выявленного объекта культурного наследия "Главный дом городской усадьбы" (Тамбовская область, г. Тамбов, ул. Державинская, д. 15) в единый государственный реестр объектов культурного наследия (памятников истории и культуры) народов Российской Федерации в качестве объекта культурного наследия регионального значения, утверждении границ территории объекта культурного наследия и режима ее использования"
(Зарегистрирован 11.12.2024 № 444)
Номер опубликования: 6801202412120003
Дата опубликования: 12.12.2024
Страница №4 из 5:
Увеличить