Официальное опубликование правовых актов
ОФИЦИАЛЬНОЕ ОПУБЛИКОВАНИЕ
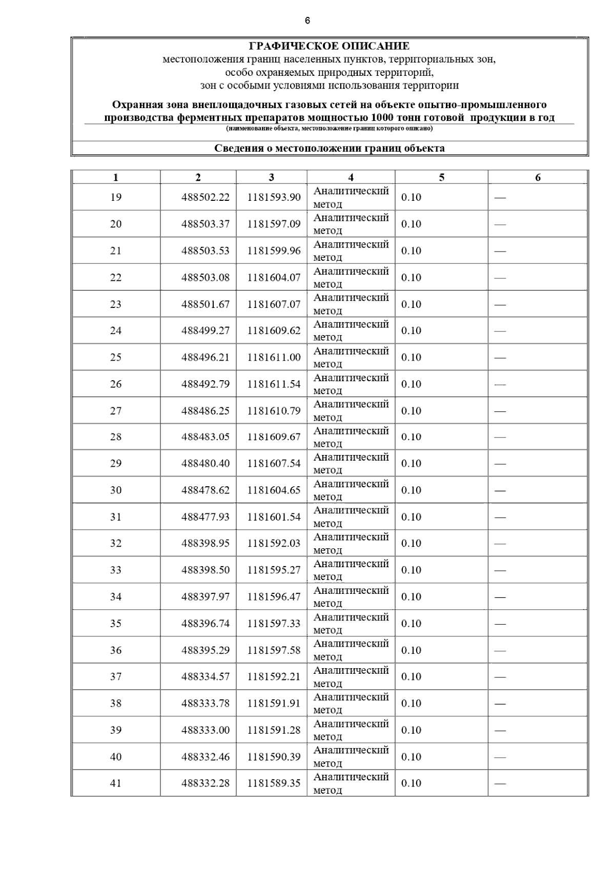
Приказ Министерства имущественных отношений и государственного заказа Тамбовской области от 25.11.2024 № 681
"Об установлении охранной зоны газопровода и наложении ограничений (обременений) на входящие в нее земельные участки"
(Зарегистрирован 25.11.2024 № 681)
Номер опубликования: 6801202412020001
Дата опубликования: 02.12.2024
Страница №8 из 17:
Увеличить