Официальное опубликование правовых актов
ОФИЦИАЛЬНОЕ ОПУБЛИКОВАНИЕ
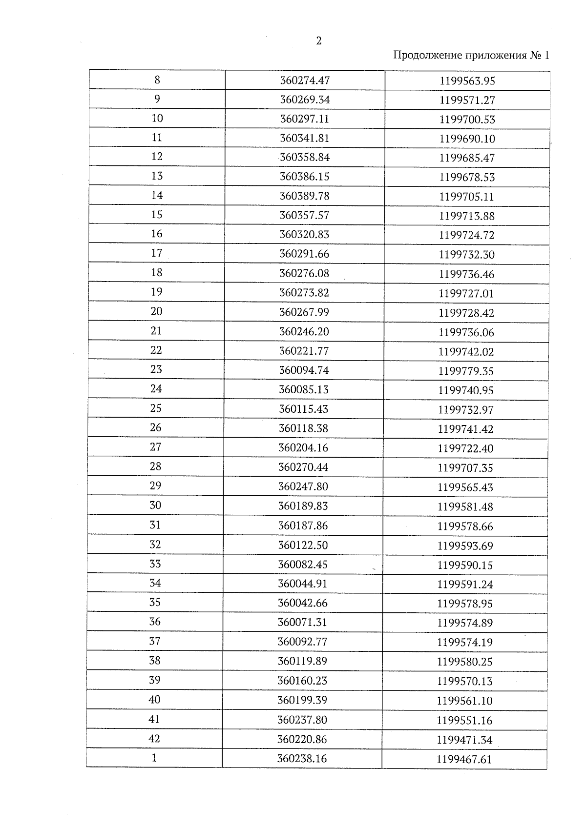
Приказ Департамента по государственной охране объектов культурного наследия Тамбовской области от 19.11.2024 № 404
"Об установлении зон охраны объекта культурного наследия регионального значения "Михаило-Архангельская церковь" (Тамбовская область, Мордовский муниципальный округ, р. п. Мордово, ул. Базарная, д. 1) и утверждении требований к градостроительным регламентам в границах территорий данных зон"
(Зарегистрирован 19.11.2024 № 404)
Номер опубликования: 6801202411220002
Дата опубликования: 22.11.2024
Страница №4 из 11:
Увеличить