Официальное опубликование правовых актов
ОФИЦИАЛЬНОЕ ОПУБЛИКОВАНИЕ
Приказ Департамента по государственной охране объектов культурного наследия Тамбовской области от 12.08.2024 № 282
"Об установлении зон охраны объекта культурного наследия регионального значения "Дом жилой" (Тамбовская область, г. Моршанск, ул. Интернациональная, д. 73) и утверждении требований к градостроительным регламентам в границах территорий данных зон"
(Зарегистрирован 12.08.2024 № 282)
Номер опубликования: 6801202408130002
Дата опубликования: 13.08.2024
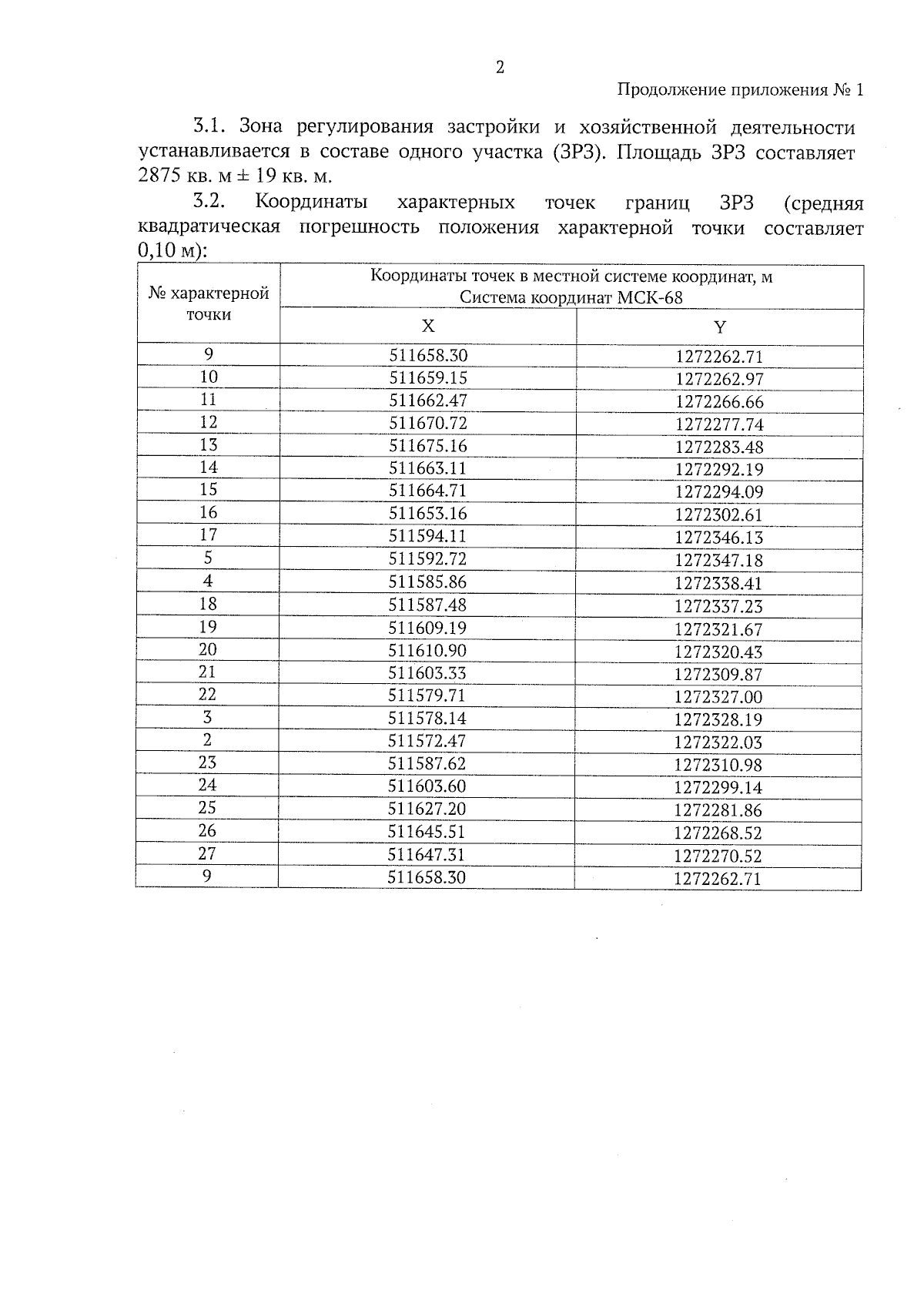
Страница №4 из 9:
Увеличить