Официальное опубликование правовых актов
ОФИЦИАЛЬНОЕ ОПУБЛИКОВАНИЕ
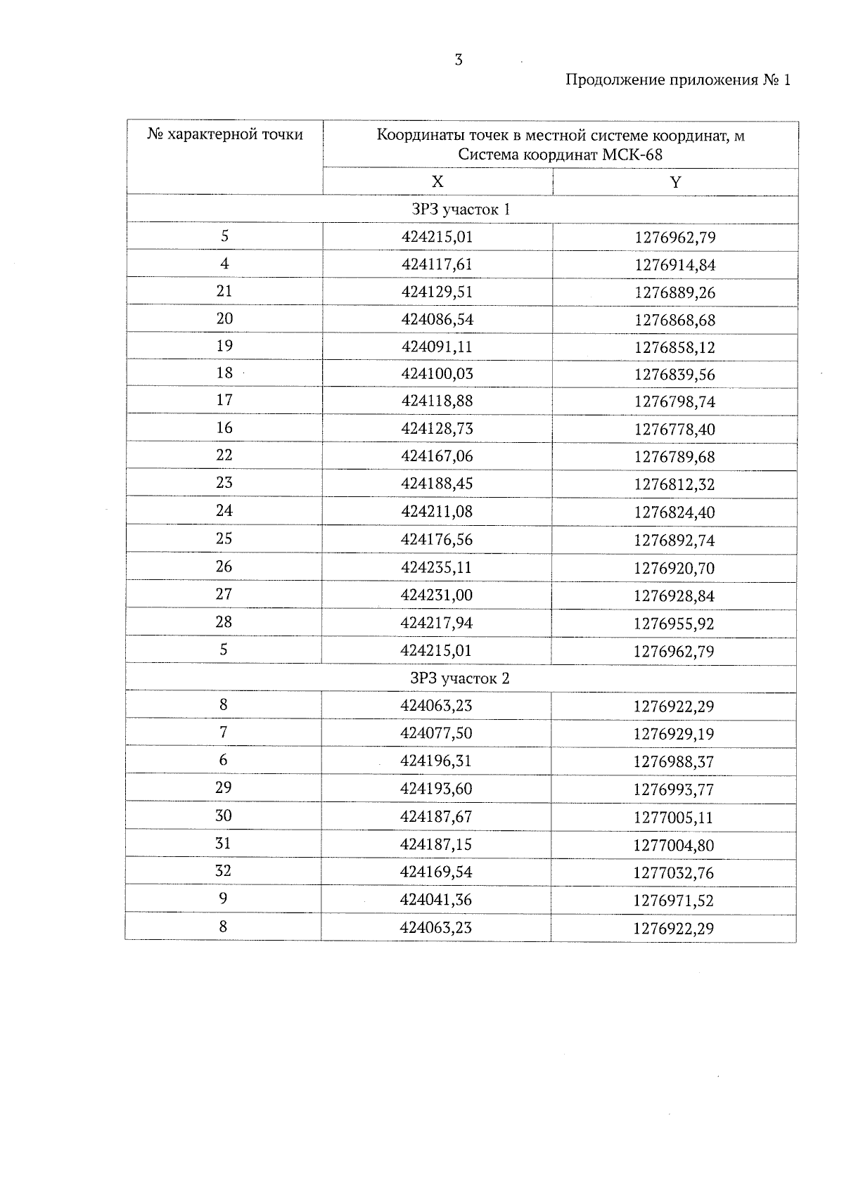
Приказ Департамента по государственной охране объектов культурного наследия Тамбовской области от 06.08.2024 № 277
"Об установлении зон охраны объекта культурного наследия регионального значения "Рассказовское имени А.С.Пушкина земское училище Тамбовского уезда" (Тамбовская область, г. Рассказово, ул. Пушкина, д. 103) и утверждении требований к градостроительным регламентам в границах территорий данных зон"
(Зарегистрирован 06.08.2024 № 277)
Номер опубликования: 6801202408090002
Дата опубликования: 09.08.2024
Страница №5 из 11:
Увеличить