Официальное опубликование правовых актов
ОФИЦИАЛЬНОЕ ОПУБЛИКОВАНИЕ
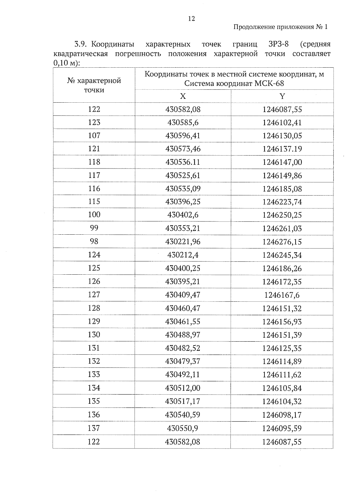
Приказ Департамента по государственной охране объектов культурного наследия Тамбовской области от 01.08.2024 № 270
"О внесении изменений в приказ управления по государственной охране объектов культурного наследия Тамбовской области от 17.10.2019 № 260 "Об установлении зон охраны объекта культурного наследия регионального значения "Ансамбль железнодорожной станции Тамбов" (Тамбовская область, г. Тамбов, пл. Привокзальная, д. 1) и утверждении требований к градостроительным регламентам в границах территорий данных зон"
(Зарегистрирован 01.08.2024 № 270)
Номер опубликования: 6801202408060004
Дата опубликования: 06.08.2024
Страница №14 из 23:
Увеличить