Официальное опубликование правовых актов
ОФИЦИАЛЬНОЕ ОПУБЛИКОВАНИЕ
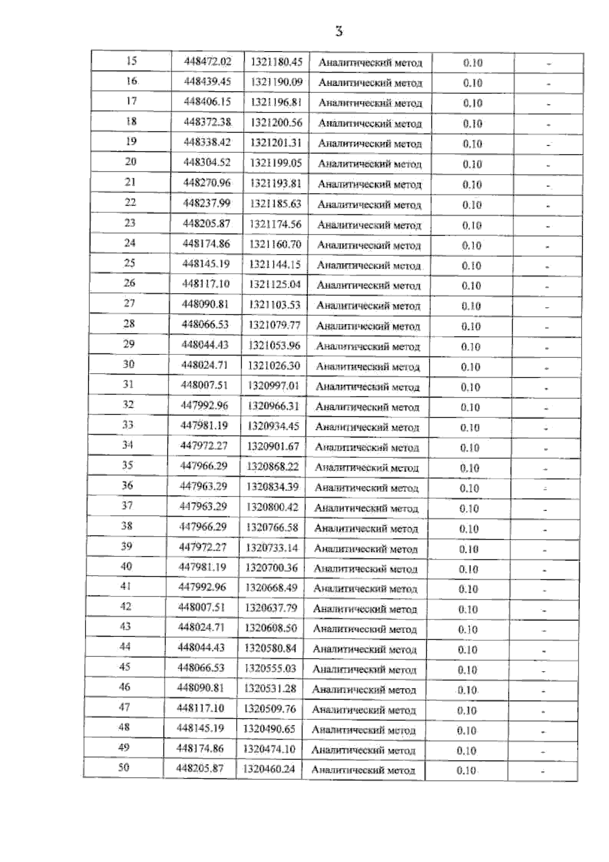
Приказ Министерства экологии и природных ресурсов Тамбовской области от 03.06.2024 № 240
"Об установлении границ и режима зон санитарной охраны действующего водозабора общества с ограниченной ответственностью "ЧЕРКИЗОВО-СВИНОВОДСТВО" "Доращивание - 2"
(Зарегистрирован 03.06.2024 № 240)
Номер опубликования: 6801202406050003
Дата опубликования: 05.06.2024
Страница №14 из 20:
Увеличить