Официальное опубликование правовых актов
ОФИЦИАЛЬНОЕ ОПУБЛИКОВАНИЕ
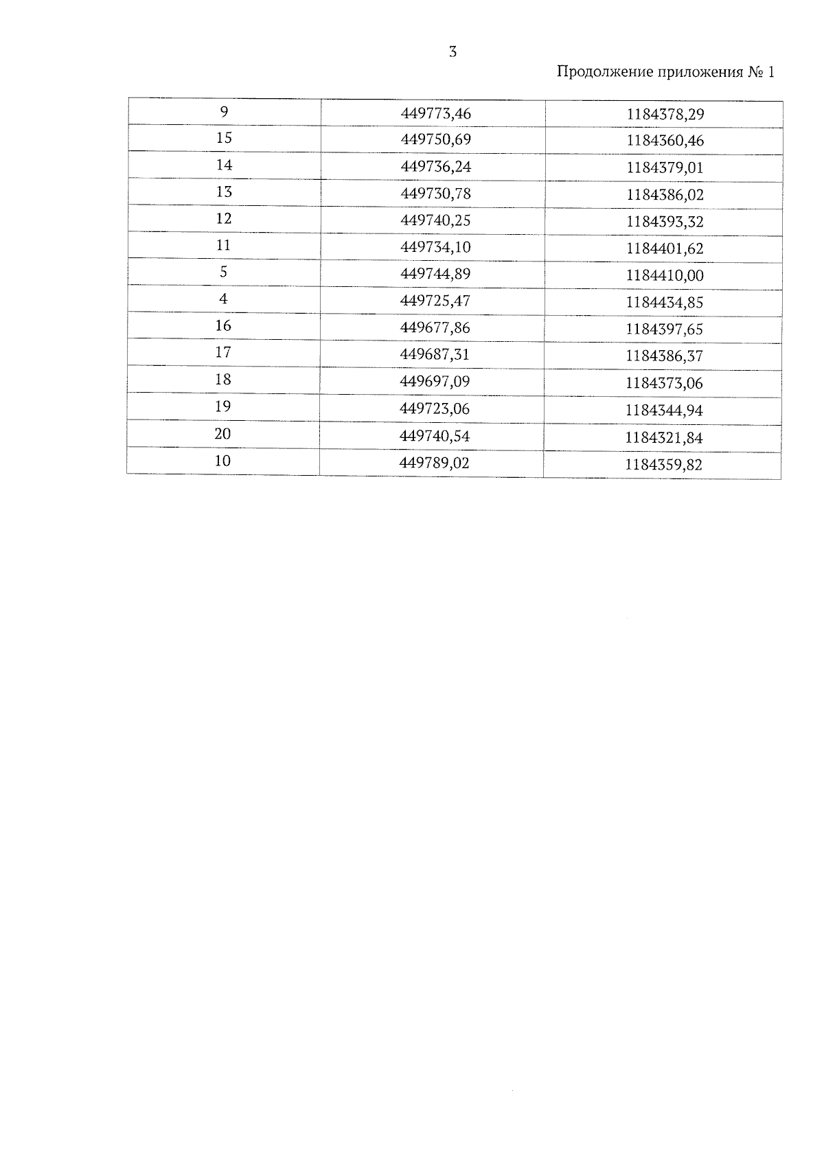
Приказ Департамента по государственной охране объектов культурного наследия Тамбовской области от 28.05.2024 № 199
"Об установлении зон охраны объекта культурного наследия регионального значения "Бывший жилой дом" (Тамбовская область, г. Мичуринск, ул. Гагарина, 4а) и утверждении требований к градостроительным регламентам в границах территорий данных зон"
(Зарегистрирован 28.05.2024 № 199)
Номер опубликования: 6801202405300008
Дата опубликования: 30.05.2024
Страница №5 из 11:
Увеличить