Официальное опубликование правовых актов
ОФИЦИАЛЬНОЕ ОПУБЛИКОВАНИЕ
Приказ Департамента по государственной охране объектов культурного наследия Тамбовской области от 23.05.2024 № 195
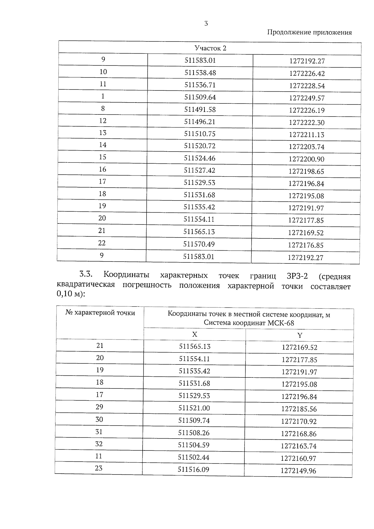
"О внесении изменений в приложение № 1 к приказу департамента по государственной охране объектов культурного наследия Тамбовской области от 02.05.2024 № 182 "Об установлении зон охраны объекта культурного наследия регионального значения "Дом жилой" (Тамбовская область, г. Моршанск, ул. Интернациональная, д. 61а) и утверждении требований к градостроительным регламентам в границах территорий данных зон"
(Зарегистрирован 23.05.2024 № 195)
Номер опубликования: 6801202405270012
Дата опубликования: 27.05.2024
Страница №5 из 7:
Увеличить