Официальное опубликование правовых актов
ОФИЦИАЛЬНОЕ ОПУБЛИКОВАНИЕ
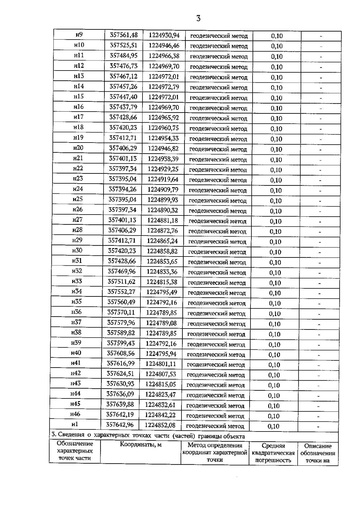
Приказ Министерства экологии и природных ресурсов Тамбовской области от 24.05.2024 № 209
"Об установлении границ и режима зон санитарной охраны действующего водозабора открытого акционерного общества "Токаревская птицефабрика" "Площадка откорма № 1"
(Зарегистрирован 24.05.2024 № 209)
Номер опубликования: 6801202405270005
Дата опубликования: 27.05.2024
Страница №9 из 19:
Увеличить