Приказ Министерства имущественных отношений и государственного заказа Тамбовской области от 06.05.2024 № 256
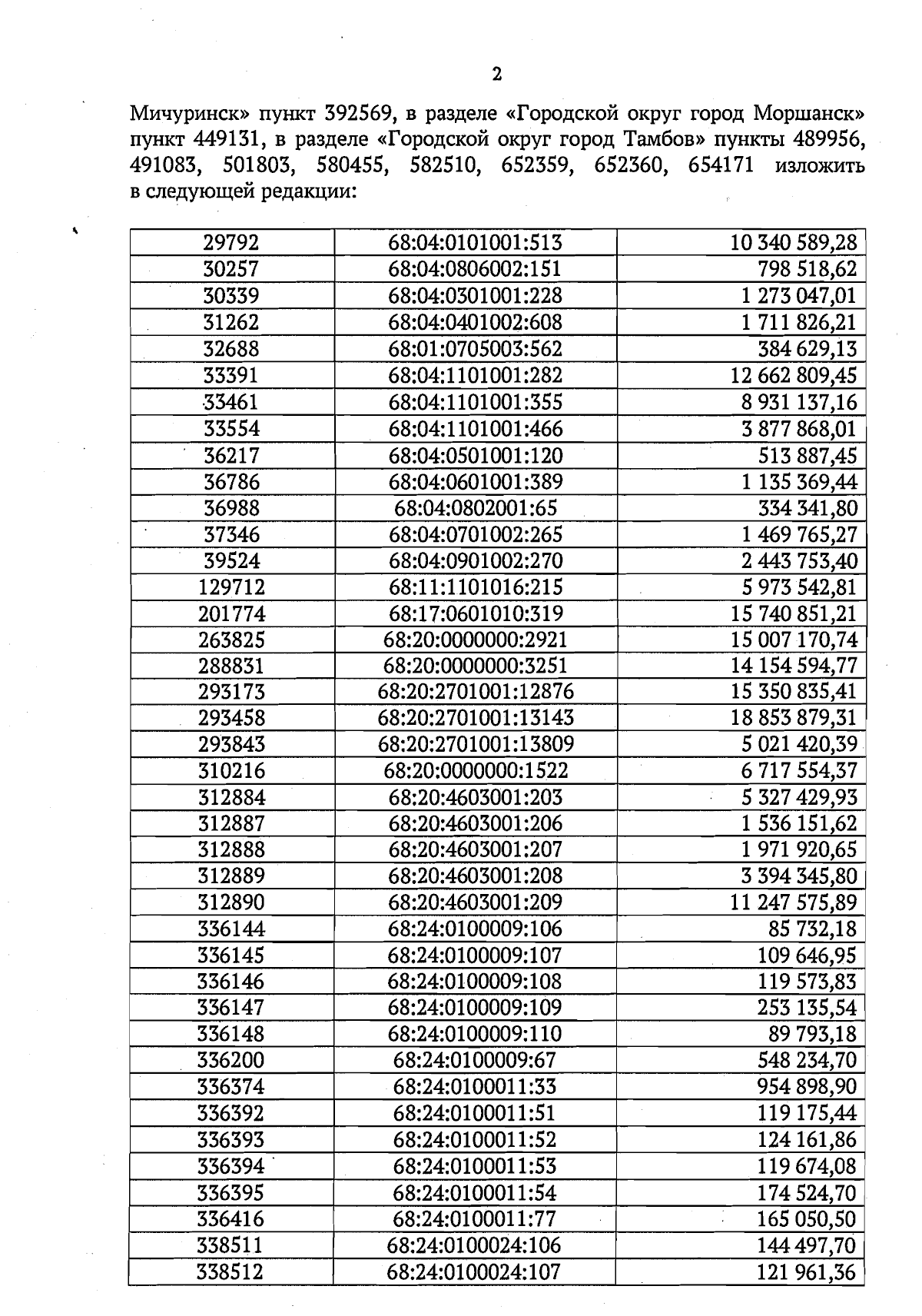
"О внесении изменений в приложение к приказу министерства имущественных отношений и государственного заказа Тамбовской области от 16.10.2023 № 585 "Об утверждении результатов определения кадастровой стоимости зданий, помещений, сооружений, объектов незавершенного строительства, машино-мест, расположенных на территории Тамбовской области"
(Зарегистрирован 06.05.2024 № 256)
"О внесении изменений в приложение к приказу министерства имущественных отношений и государственного заказа Тамбовской области от 16.10.2023 № 585 "Об утверждении результатов определения кадастровой стоимости зданий, помещений, сооружений, объектов незавершенного строительства, машино-мест, расположенных на территории Тамбовской области"
(Зарегистрирован 06.05.2024 № 256)
Номер опубликования: 6801202405080009
Дата опубликования:
08.05.2024
