Официальное опубликование правовых актов
ОФИЦИАЛЬНОЕ ОПУБЛИКОВАНИЕ
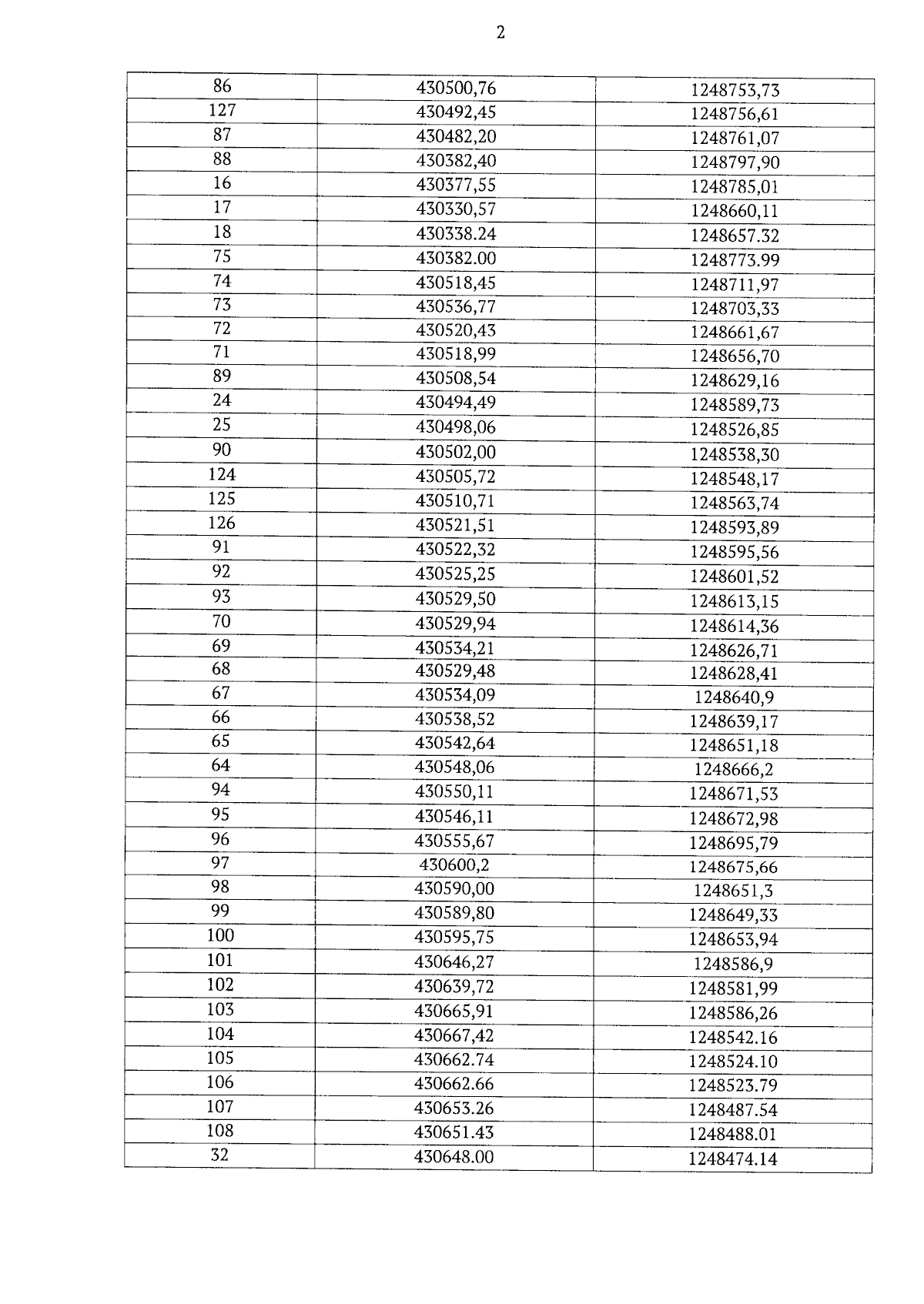
Приказ Департамента по государственной охране объектов культурного наследия Тамбовской области от 03.05.2024 № 185
"О внесении изменений в приложение № 2 к приказу управления по государственной охране объектов культурного наследия Тамбовской области от 02.04.2018 № 56 "О включении выявленного объекта культурного наследия достопримечательное место – "Тамбовский Казанский мужской монастырь" (г. Тамбов, ул. М. Горького, ул. Набережная, ул. С. Рахманинова, ул. Советская) в единый государственный реестр объектов культурного наследия (памятников истории и культуры) народов Российской Федерации в качестве объекта культурного наследия регионального значения"
(Зарегистрирован 03.05.2024 № 185)
Номер опубликования: 6801202405060001
Дата опубликования: 06.05.2024
Страница №2 из 5:
Увеличить