Официальное опубликование правовых актов
ОФИЦИАЛЬНОЕ ОПУБЛИКОВАНИЕ
Приказ Министерства труда и занятости населения Тамбовской области от 27.04.2024 № 215-П
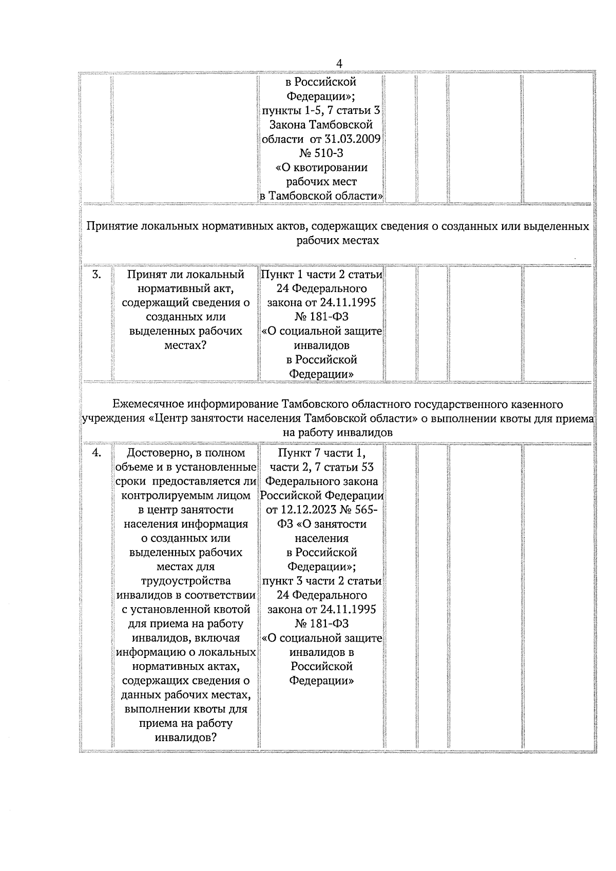
"Об утверждении формы проверочного листа (списка контрольных вопросов, ответы на которые свидетельствуют о соблюдении или несоблюдении контролируемым лицом обязательных требований), применяемого министерством труда и занятости населения Тамбовской области при осуществлении регионального государственного контроля (надзора) за приемом на работу инвалидов в пределах установленной квоты"
(Зарегистрирован 27.04.2024 № 215-П)
Номер опубликования: 6801202405020003
Дата опубликования: 02.05.2024
Страница №6 из 6:
Увеличить