Официальное опубликование правовых актов
ОФИЦИАЛЬНОЕ ОПУБЛИКОВАНИЕ
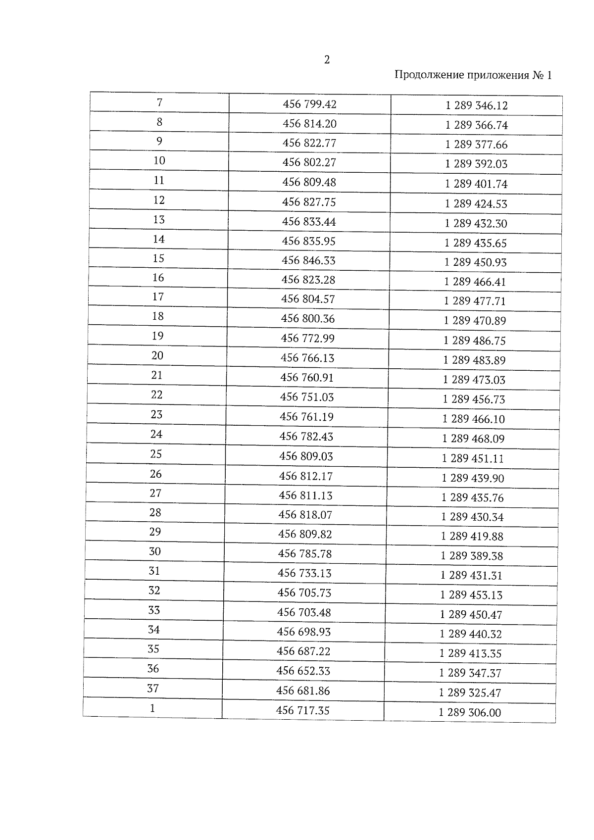
Приказ Департамента по государственной охране объектов культурного наследия Тамбовской области от 19.04.2024 № 157
"Об установлении зон охраны объекта культурного наследия регионального значения "Церковь Троицкая" (Тамбовская область, Бондарский муниципальный округ, с. Бондари, ул. Пароваткина, д. 1а) и утверждении требований к градостроительным регламентам в границах территорий данных зон"
(Зарегистрирован 19.04.2024 № 157)
Номер опубликования: 6801202404240001
Дата опубликования: 24.04.2024
Страница №4 из 10:
Увеличить