Официальное опубликование правовых актов
ОФИЦИАЛЬНОЕ ОПУБЛИКОВАНИЕ
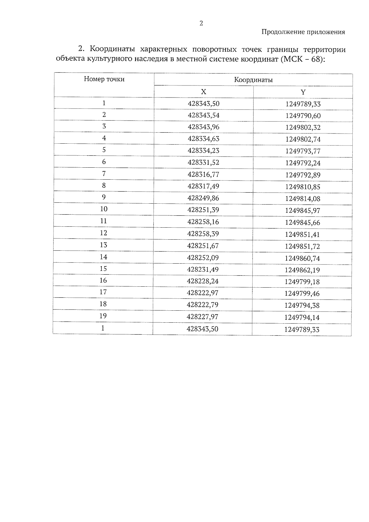
Приказ Департамента по государственной охране объектов культурного наследия Тамбовской области от 12.04.2024 № 143
"О внесении изменений в приложение № 1 к приказу управления по государственной охране объектов культурного наследия Тамбовской области от 09.08.2022 № 200 "О включении выявленного объекта культурного наследия "Епархиальный свечной завод" (Тамбовская область, г. Тамбов, ул. Андреевская, 33Д) в единый государственный реестр объектов культурного наследия (памятников истории и культуры) народов Российской Федерации в качестве объекта культурного наследия регионального значения"
(Зарегистрирован 12.04.2024 № 143)
Номер опубликования: 6801202404170015
Дата опубликования: 17.04.2024
Страница №4 из 4:
Увеличить