Официальное опубликование правовых актов
ОФИЦИАЛЬНОЕ ОПУБЛИКОВАНИЕ
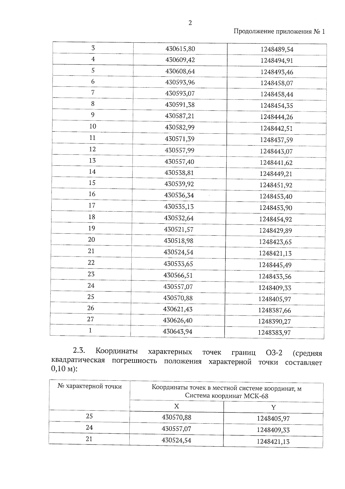
Приказ Департамента по государственной охране объектов культурного наследия Тамбовской области от 12.04.2024 № 144
"Об установлении зон охраны объекта культурного наследия регионального значения "Дом жилой" (Тамбовская область, г. Тамбов, ул. Советская, д. 83) и утверждении требований к градостроительным регламентам в границах территорий данных зон"
(Зарегистрирован 12.04.2024 № 144)
Номер опубликования: 6801202404170013
Дата опубликования: 17.04.2024
Страница №4 из 12:
Увеличить