Официальное опубликование правовых актов
ОФИЦИАЛЬНОЕ ОПУБЛИКОВАНИЕ
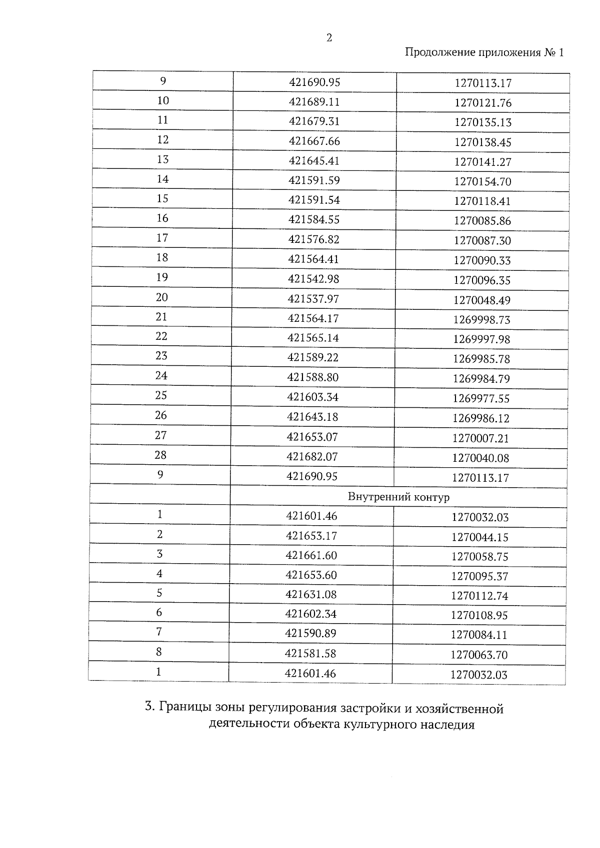
Приказ Департамента по государственной охране объектов культурного наследия Тамбовской области от 02.04.2024 № 125
"Об установлении зон охраны объекта культурного наследия регионального значения "Покровская церковь" (Тамбовская область, Рассказовский муниципальный округ, с. Нижнеспасское, ул. Зеленая, д. 32а) и утверждении требований к градостроительным регламентам в границах территорий данных зон"
(Зарегистрирован 02.04.2024 № 125)
Номер опубликования: 6801202404050011
Дата опубликования: 05.04.2024
Страница №4 из 10:
Увеличить