Официальное опубликование правовых актов
ОФИЦИАЛЬНОЕ ОПУБЛИКОВАНИЕ
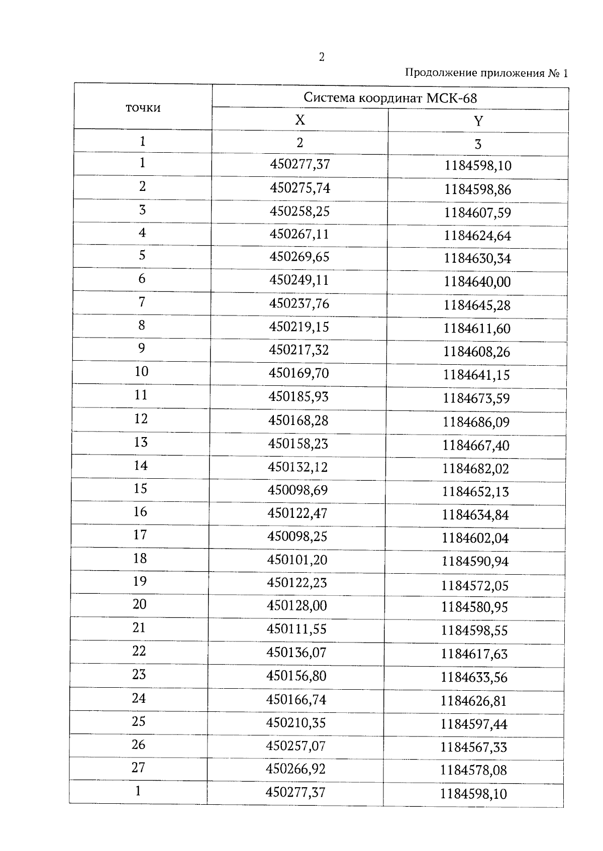
Приказ Департамента по государственной охране объектов культурного наследия Тамбовской области от 11.03.2024 № 85
"Об установлении зон охраны объекта культурного наследия регионального значения "Здание коммерческого училища" (Тамбовская область, г. Мичуринск, ул. Советская, д. 288) и утверждении требований к градостроительным регламентам в границах территорий данных зон"
(Зарегистрирован 11.03.2024 № 85)
Номер опубликования: 6801202403180011
Дата опубликования: 18.03.2024
Страница №4 из 12:
Увеличить