Официальное опубликование правовых актов
ОФИЦИАЛЬНОЕ ОПУБЛИКОВАНИЕ
Приказ Департамента по государственной охране объектов культурного наследия Тамбовской области от 23.01.2024 № 19
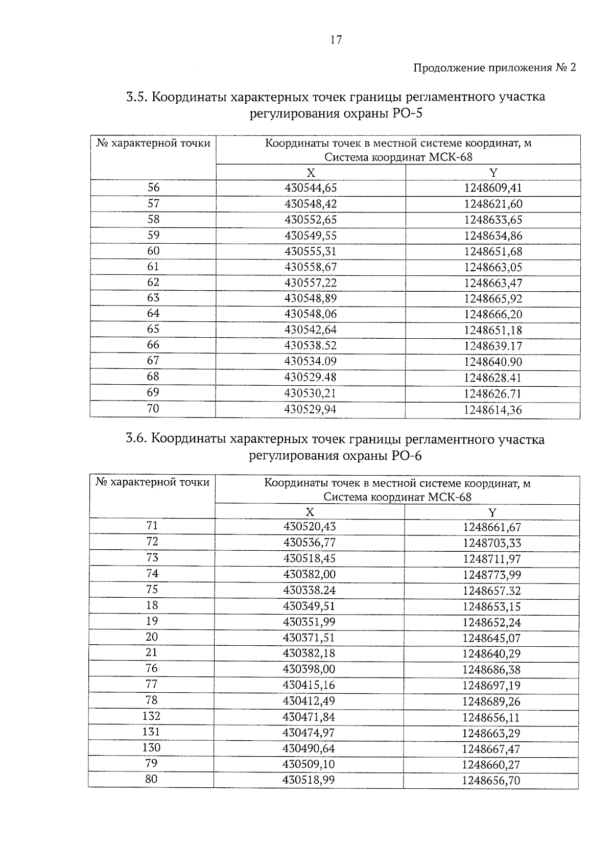
"О внесении изменений в приказ управления по государственной охране объектов культурного наследия Тамбовской области от 02.04.2018 № 56 "О включении выявленного объекта культурного наследия достопримечательное место - "Тамбовский Казанский мужской монастырь" (г. Тамбов, ул. М.Горького, ул. Набережная, ул. С.Рахманинова, ул. Советская) в единый государственный реестр объектов культурного наследия (памятников истории и культуры) народов Российской Федерации в качестве объекта культурного наследия регионального значения"
(Зарегистрирован 23.01.2024 № 19)
Номер опубликования: 6801202401260001
Дата опубликования: 26.01.2024
Страница №23 из 35:
Увеличить