Официальное опубликование правовых актов
ОФИЦИАЛЬНОЕ ОПУБЛИКОВАНИЕ
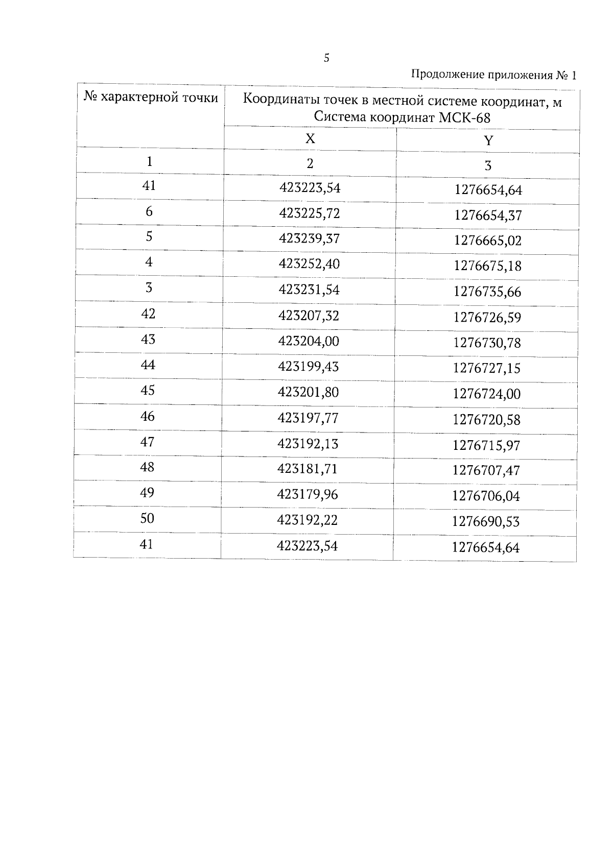
Приказ Департамента по государственной охране объектов культурного наследия Тамбовской области от 30.11.2023 № 378
"Об установлении зон охраны объекта культурного наследия регионального значения "Церковь Иоана Богослова" (Тамбовская область, г. Рассказово, ул. Куйбышевский проезд, д. 3) и утверждении требований к градостроительным регламентам в границах территорий данных зон"
(Зарегистрирован 30.11.2023 № 378)
Номер опубликования: 6801202312070001
Дата опубликования: 07.12.2023
Страница №7 из 13:
Увеличить