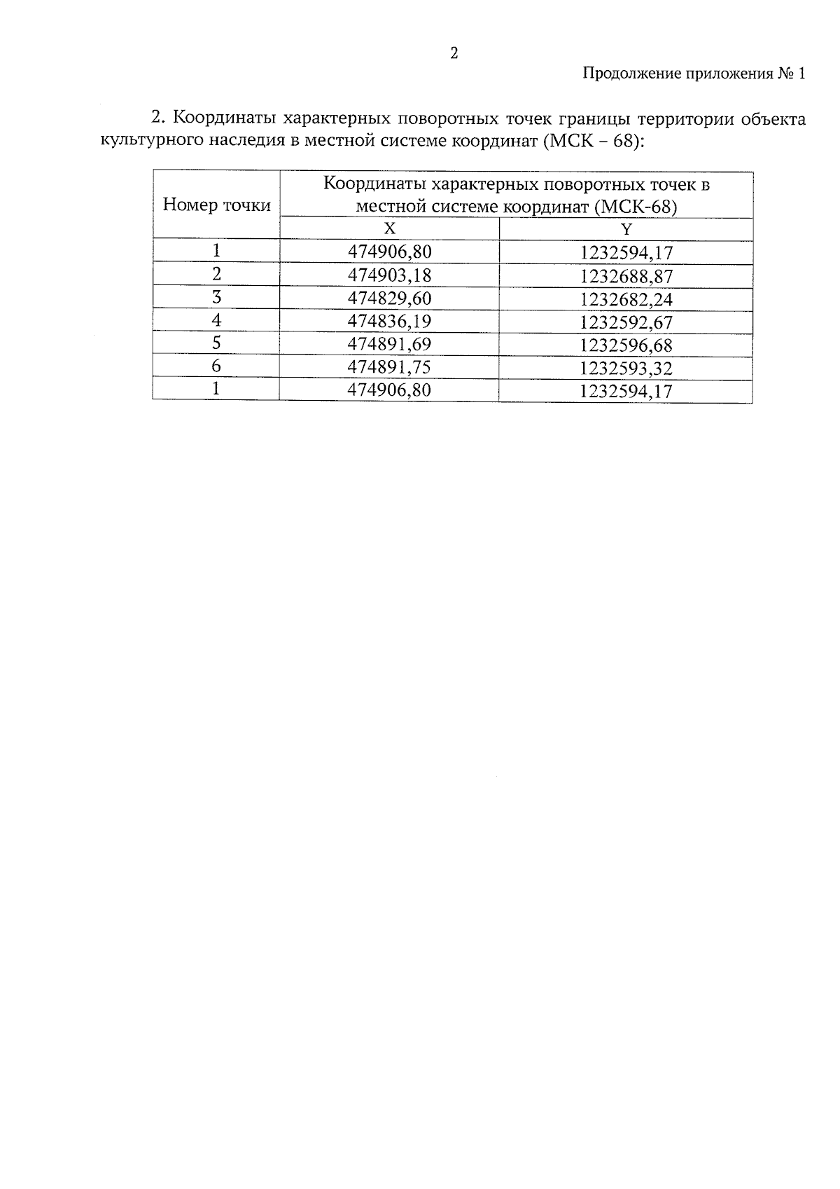
Приказ Департамента по государственной охране объектов культурного наследия Тамбовской области от 16.10.2023 № 301
"Об утверждении границ территории и режима использования территории объекта культурного наследия регионального значения "Богоявленская церковь" (Тамбовская область, Сосновский район, с. Советское, пер. Школьный, д. 7)"
(Зарегистрирован 16.10.2023 № 301)
"Об утверждении границ территории и режима использования территории объекта культурного наследия регионального значения "Богоявленская церковь" (Тамбовская область, Сосновский район, с. Советское, пер. Школьный, д. 7)"
(Зарегистрирован 16.10.2023 № 301)
Номер опубликования: 6801202310230005
Дата опубликования:
23.10.2023
