Официальное опубликование правовых актов
ОФИЦИАЛЬНОЕ ОПУБЛИКОВАНИЕ
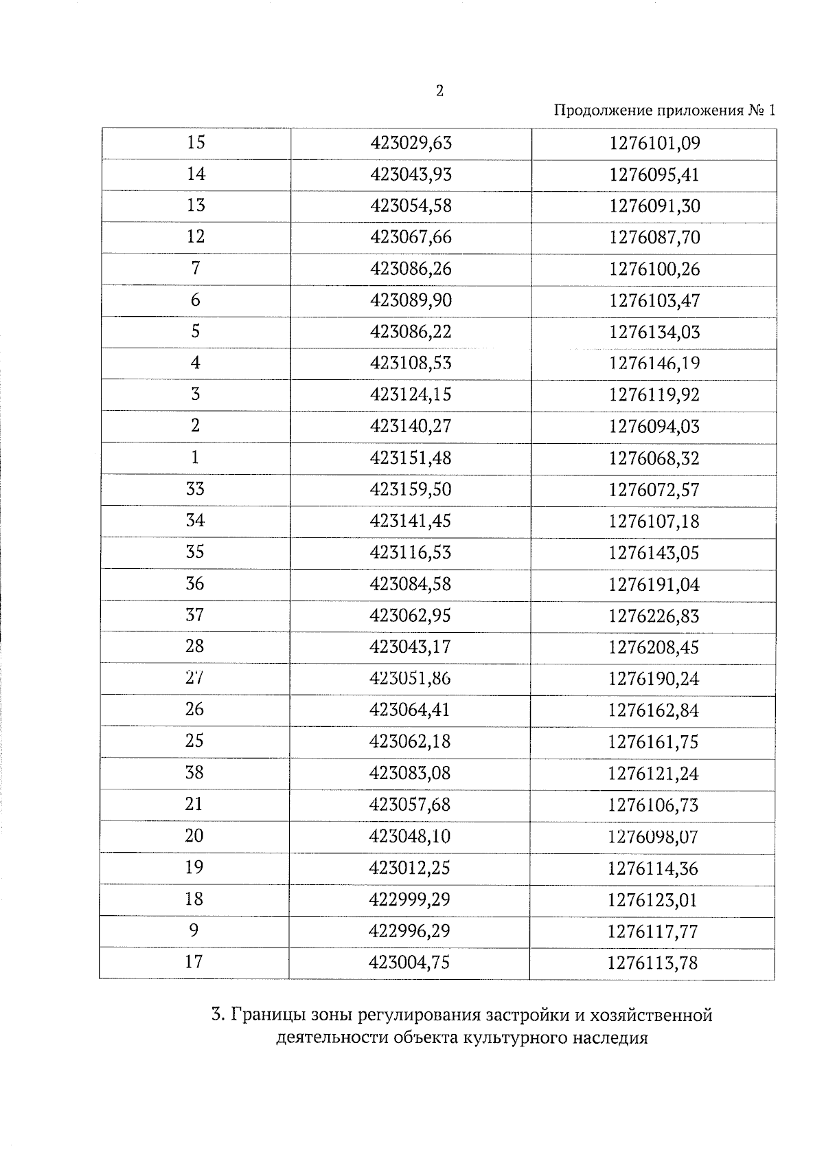
Приказ Департамента по государственной охране объектов культурного наследия Тамбовской области от 13.10.2023 № 288
"Об установлении зон охраны объекта культурного наследия регионального значения "Молельный дом субботников" (Тамбовская область, г. Рассказово, ул. Красноармейская, д. 14) и утверждении требований к градостроительным регламентам в границах территорий данных зон"
(Зарегистрирован 13.10.2023 № 288)
Номер опубликования: 6801202310200007
Дата опубликования: 20.10.2023
Страница №4 из 13:
Увеличить