Официальное опубликование правовых актов
ОФИЦИАЛЬНОЕ ОПУБЛИКОВАНИЕ
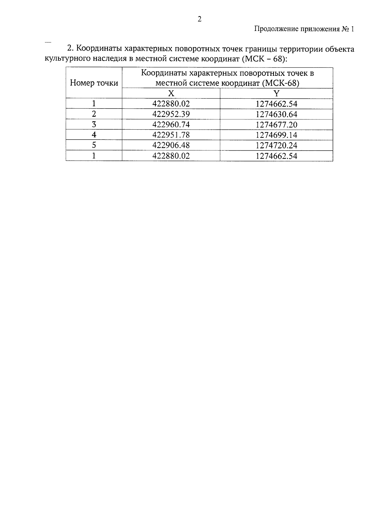
Приказ Департамента по государственной охране объектов культурного наследия Тамбовской области от 18.09.2023 № 263
"О включении выявленного объекта культурного наследия "Больница суконной фабрики наследников В.Я. Рогозы" (Тамбовская область, г. Рассказово, ул. Некрасова, д. 6) в единый государственный реестр объектов культурного наследия (памятников истории и культуры) народов Российской Федерации в качестве объекта культурного наследия регионального значения, утверждении границ территории объекта культурного наследия и режима ее использования"
(Зарегистрирован 18.09.2023 № 263)
Номер опубликования: 6801202309210004
Дата опубликования: 21.09.2023
Страница №4 из 5:
Увеличить