Официальное опубликование правовых актов
ОФИЦИАЛЬНОЕ ОПУБЛИКОВАНИЕ
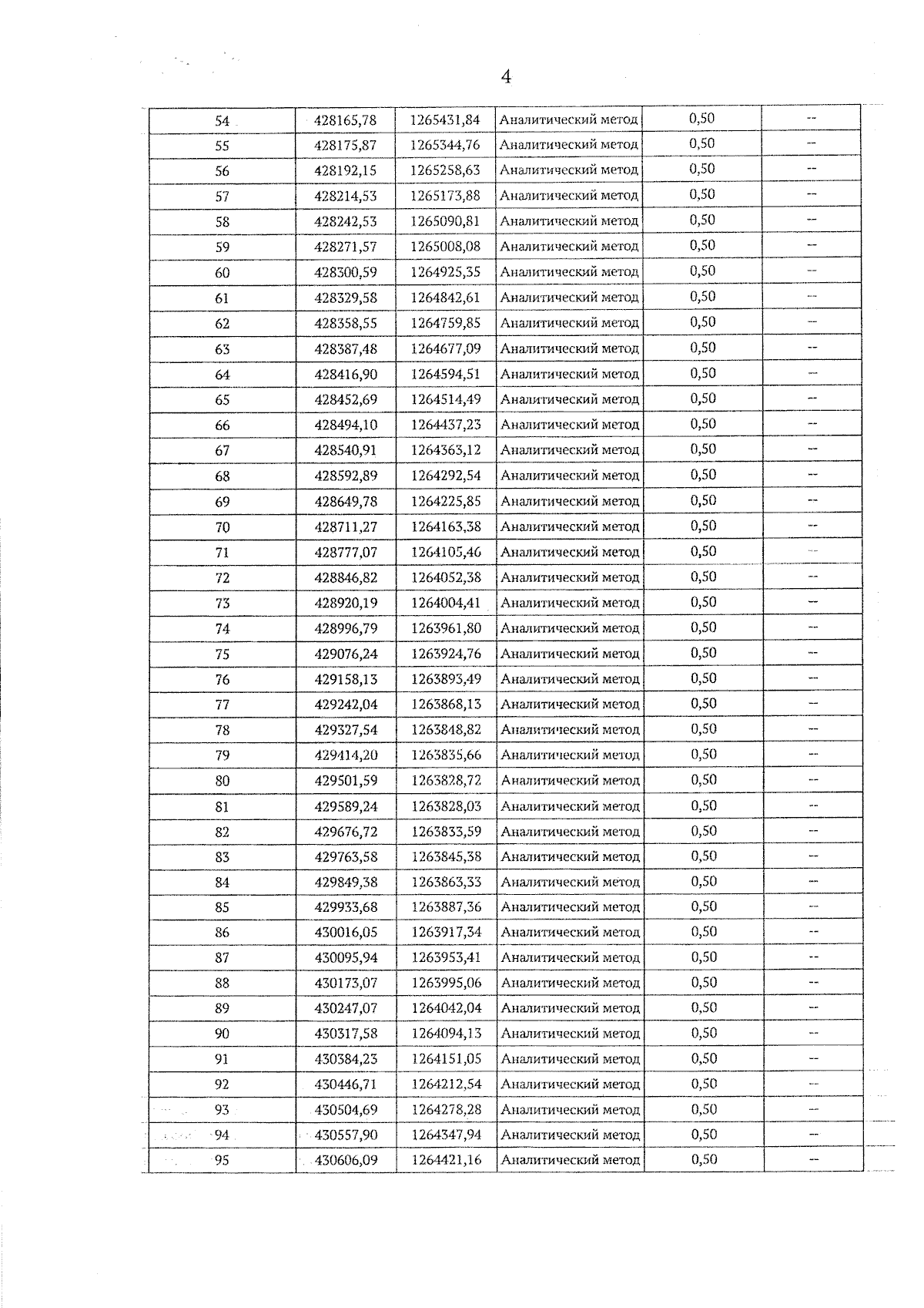
Приказ Министерства экологии и природных ресурсов Тамбовской области от 12.09.2023 № 449
"Об установлении границ и режима зон санитарной охраны действующего водозабора АО "Амбер Талвис"
(Зарегистрирован 12.09.2023 № 449)
Номер опубликования: 6801202309140002
Дата опубликования: 14.09.2023
Страница №18 из 22:
Увеличить