Официальное опубликование правовых актов
ОФИЦИАЛЬНОЕ ОПУБЛИКОВАНИЕ
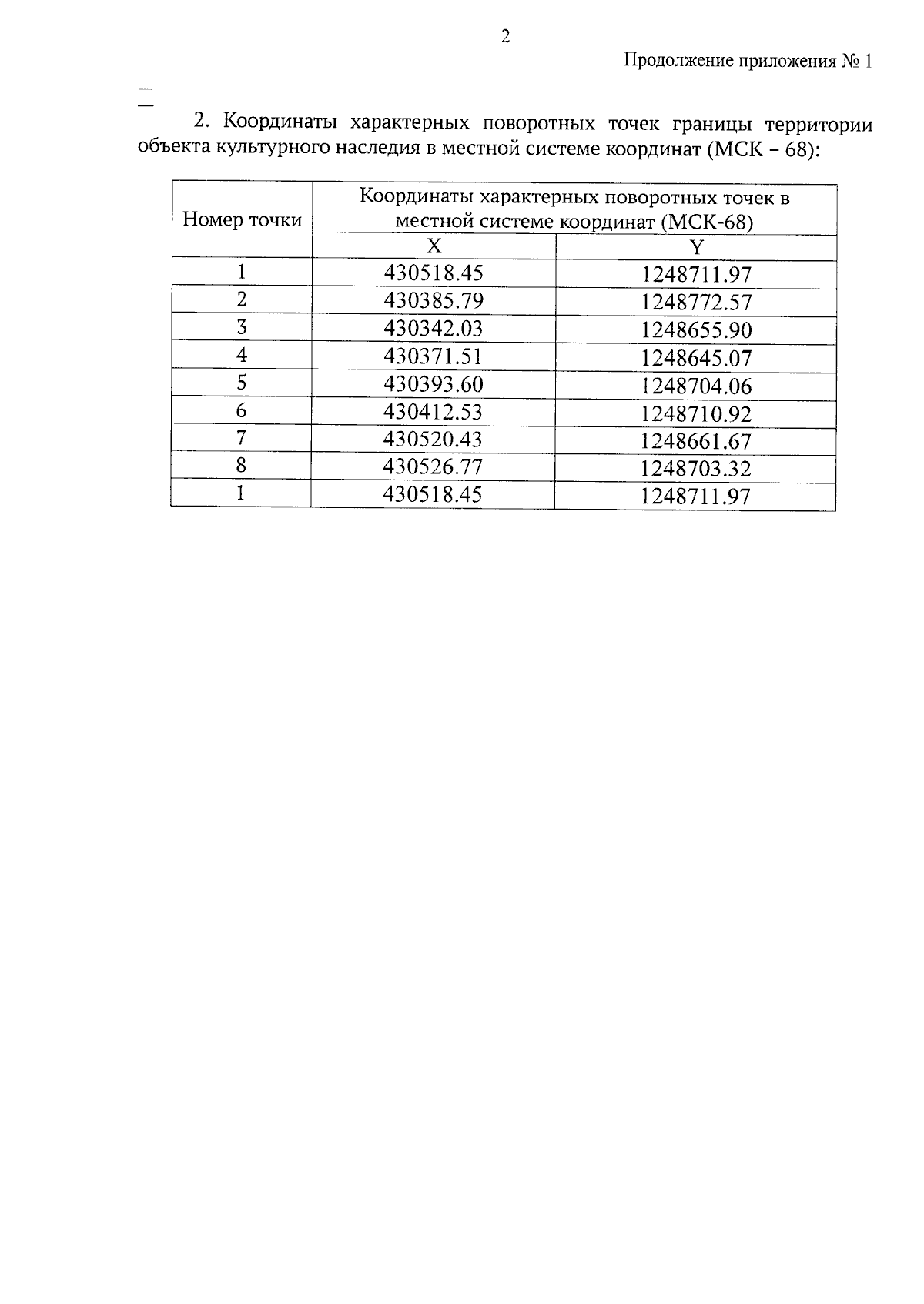
Приказ Департамента по государственной охране объектов культурного наследия Тамбовской области от 05.09.2023 № 247
"О включении выявленного объекта культурного наследия "Преподавательский корпус бывшей духовной семинарии" (Тамбовская область, г. Тамбов, ул. Ленинградская, д. 1-а) в единый государственный реестр объектов культурного наследия (памятников истории и культуры) народов Российской Федерации в качестве объекта культурного наследия регионального значения"
(Зарегистрирован 05.09.2023 № 247)
Номер опубликования: 6801202309080004
Дата опубликования: 08.09.2023
Страница №4 из 5:
Увеличить