Официальное опубликование правовых актов
ОФИЦИАЛЬНОЕ ОПУБЛИКОВАНИЕ
Приказ Министерства экологии и природных ресурсов Тамбовской области от 23.08.2023 № 420
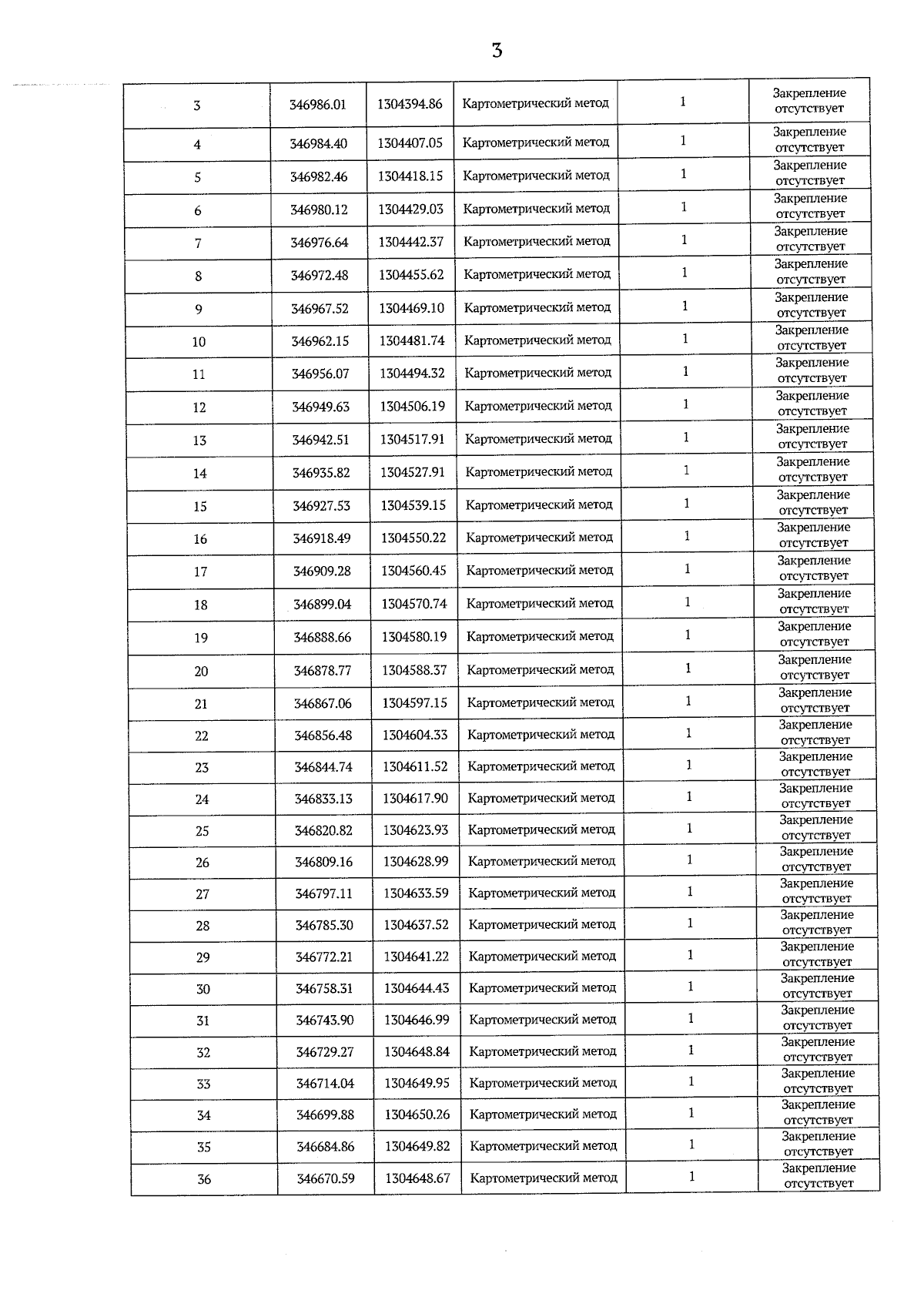
"Об установлении границ и режима зон санитарной охраны водозаборных скважин АО "Тамбовская сетевая компания"
(Зарегистрирован 23.08.2023 № 420)
Номер опубликования: 6801202308280002
Дата опубликования: 28.08.2023
Страница №49 из 90:
Увеличить