Официальное опубликование правовых актов
ОФИЦИАЛЬНОЕ ОПУБЛИКОВАНИЕ
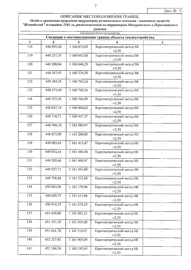
Приказ Министерства экологии и природных ресурсов Тамбовской области от 21.07.2023 № 332
"Об утверждении Положения об особо охраняемой природной территории регионального значения - памятнике природы регионального значения "Иловайский" и Положения об особо охраняемой природной территории регионального значения - памятнике природы регионального значения "Иловай-Воронежский болотно-боровой комплекс"
(Зарегистрирован 21.07.2023 № 332)
Номер опубликования: 6801202307250002
Дата опубликования: 25.07.2023
Страница №11 из 28:
Увеличить