Официальное опубликование правовых актов
ОФИЦИАЛЬНОЕ ОПУБЛИКОВАНИЕ
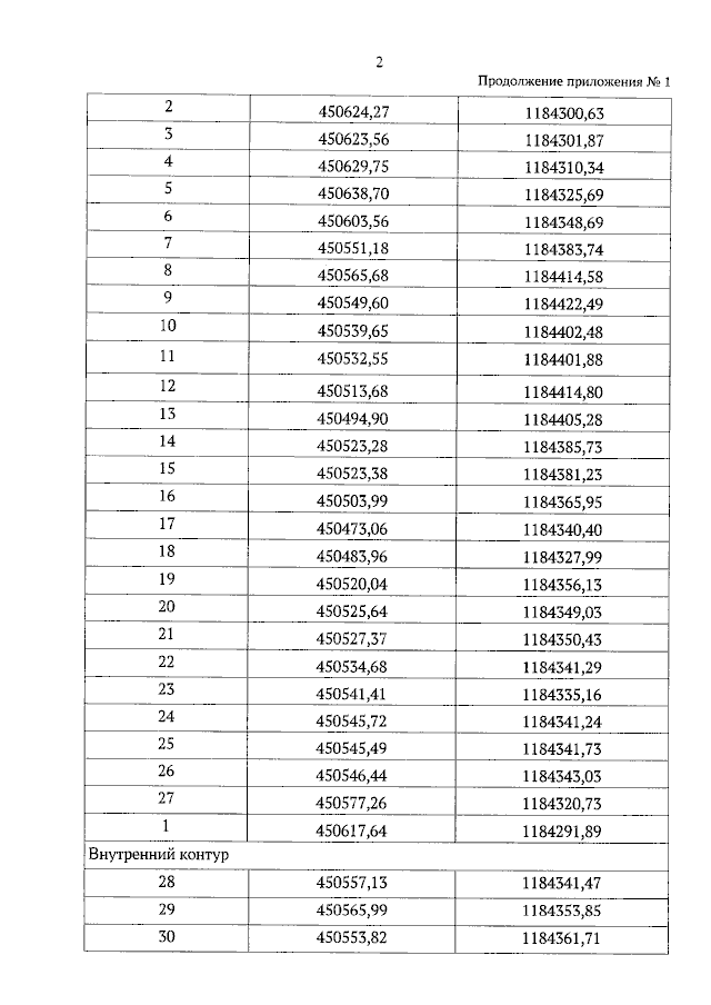
Приказ Управления по государственной охране объектов культурного наследия Тамбовской области от 05.06.2023 № 145
"Об установлении зон охраны объекта культурного наследия регионального значения "Бывший жилой дом" (Тамбовская область, г. Мичуринск, ул. Советская, д. 264) и утверждении требований к градостроительным регламентам в границах территорий данных зон"
(Зарегистрирован 05.06.2023 № 145)
Номер опубликования: 6801202306080001
Дата опубликования: 08.06.2023
Страница №4 из 10:
Увеличить