Официальное опубликование правовых актов
ОФИЦИАЛЬНОЕ ОПУБЛИКОВАНИЕ
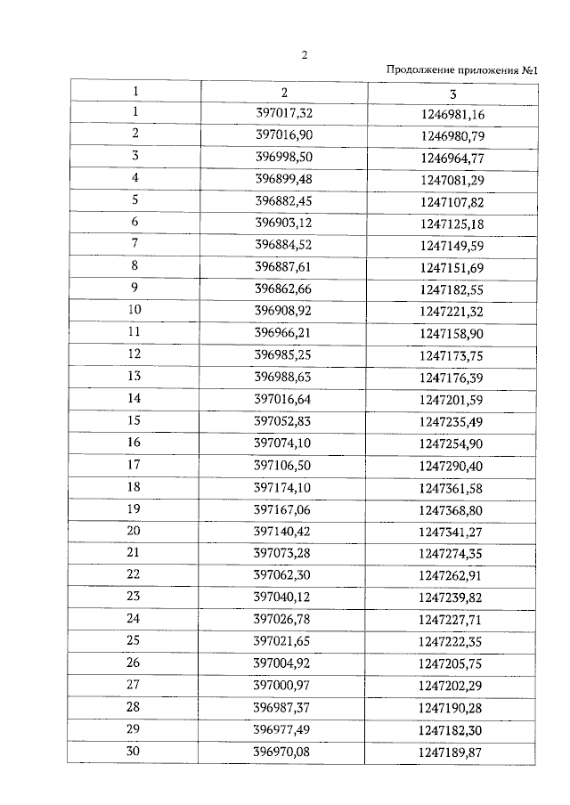
Приказ Управления по государственной охране объектов культурного наследия Тамбовской области от 01.06.2023 № 135
"Об установлении зон охраны объекта культурного наследия регионального значения "Усадьба Знаменка, где летом 1869 года работал художник Ф.А.Васильев, жил писатель и художник Ксавье де Местр. Главный дом, церковь Знамения." (Тамбовская область, Знаменский район, р.п. Знаменка, ул. Парковая, д. 1) и утверждении требований к градостроительным регламентам в границах территорий данных зон"
(Зарегистрирован 01.06.2023 № 135)
Номер опубликования: 6801202306060007
Дата опубликования: 06.06.2023
Страница №4 из 28:
Увеличить