Официальное опубликование правовых актов
ОФИЦИАЛЬНОЕ ОПУБЛИКОВАНИЕ
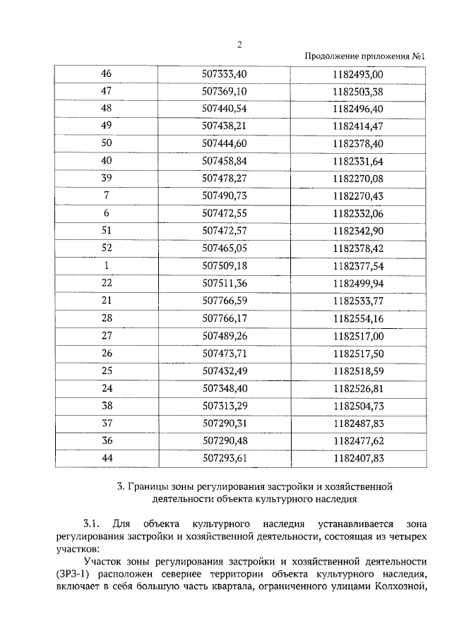
Приказ Управления по государственной охране объектов культурного наследия Тамбовской области от 01.06.2023 № 136
"Об установлении зон охраны объекта культурного наследия регионального значения "Храм Спаса Нерукотворного" (Тамбовская область, Староюрьевский район, с. Спасское, ул. Колхозная, д. 9) и утверждении требований к градостроительным регламентам в границах территорий данных зон"
(Зарегистрирован 01.06.2023 № 136)
Номер опубликования: 6801202306060005
Дата опубликования: 06.06.2023
Страница №4 из 17:
Увеличить