Официальное опубликование правовых актов
ОФИЦИАЛЬНОЕ ОПУБЛИКОВАНИЕ
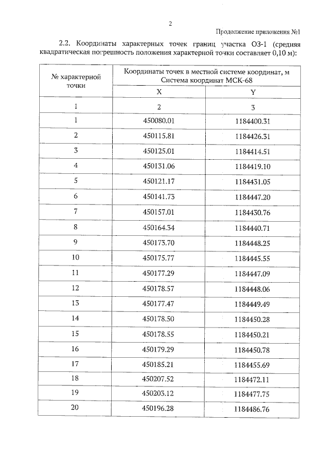
Приказ Управления по государственной охране объектов культурного наследия Тамбовской области от 01.06.2023 № 134
"Об установлении зон охраны объекта культурного наследия регионального значения «Дом семьи И.В.Мичурина» (Тамбовская область, г. Мичуринск, ул. Коммунистическая, д. 74) и утверждении требований к градостроительным регламентам в границах территорий данных зон"
(Зарегистрирован 01.06.2023 № 134)
Номер опубликования: 6801202306060004
Дата опубликования: 06.06.2023
Страница №4 из 17:
Увеличить