Официальное опубликование правовых актов
ОФИЦИАЛЬНОЕ ОПУБЛИКОВАНИЕ
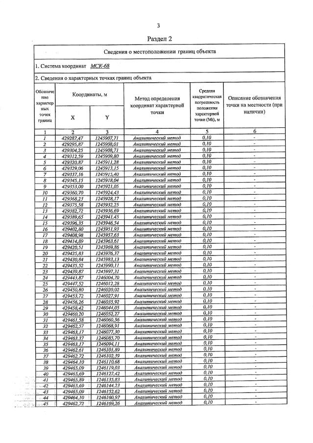
Приказ Министерства экологии и природных ресурсов Тамбовской области от 09.03.2023 № 105
"Об установлении границ и режима зон санитарной охраны водозаборных скважин Тамбовского вагоноремонтного завода Акционерного общества "Вагонреммаш"
(Зарегистрирован 09.03.2023 № 105)
Номер опубликования: 6801202303130005
Дата опубликования: 13.03.2023
Страница №9 из 23:
Увеличить