Официальное опубликование правовых актов
ОФИЦИАЛЬНОЕ ОПУБЛИКОВАНИЕ
Приказ Управления по регулированию тарифов Тамбовской области от 16.11.2022 № 125-т
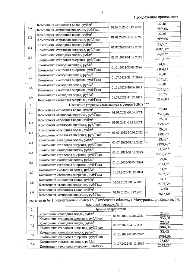
"О внесении изменения в приказ управления по регулированию тарифов Тамбовской области от 15.12.2020 № 161-т "Об установлении тарифов на горячую воду, поставляемую Федеральным государственным бюджетным учреждением "Центральное жилищно-коммунальное управление" Министерства обороны Российской Федерации потребителям Тамбовской области, на 2021-2025 гг."
Номер опубликования: 6801202211180023
Дата опубликования: 18.11.2022
Страница №5 из 6:
Увеличить