Официальное опубликование правовых актов
ОФИЦИАЛЬНОЕ ОПУБЛИКОВАНИЕ
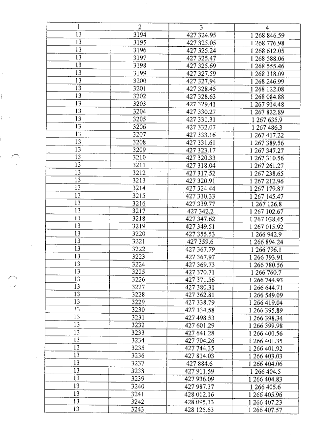
Приказ Управления лесами Тамбовской области от 28.10.2022 № 477
"Об установлении площадей и границ лесов, расположенных в зеленых зонах, лесов, расположенных в лесопарковых зонах, на территории Тамбовского лесничества Тамбовской области"
Номер опубликования: 6801202211010002
Дата опубликования: 01.11.2022
Страница №68 из 102:
Увеличить