Официальное опубликование правовых актов
ОФИЦИАЛЬНОЕ ОПУБЛИКОВАНИЕ
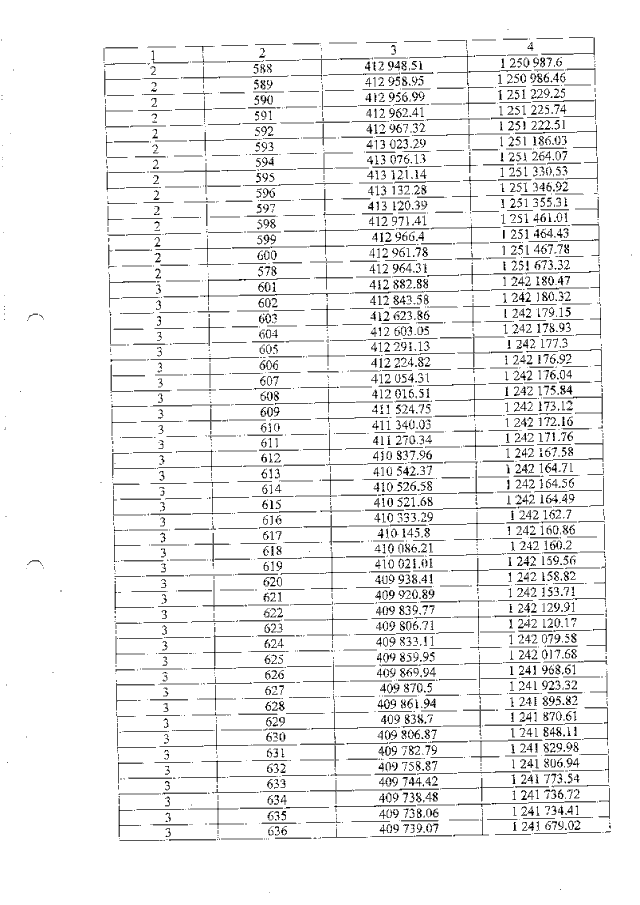
Приказ Управления лесами Тамбовской области от 28.10.2022 № 478
"Об установлении площадей и границ лесов, расположенных в зеленых зонах, лесов, расположенных в лесопарковых зонах, на территории Степного лесничества Тамбовской области"
Номер опубликования: 6801202211010001
Дата опубликования: 01.11.2022
Страница №16 из 41:
Увеличить