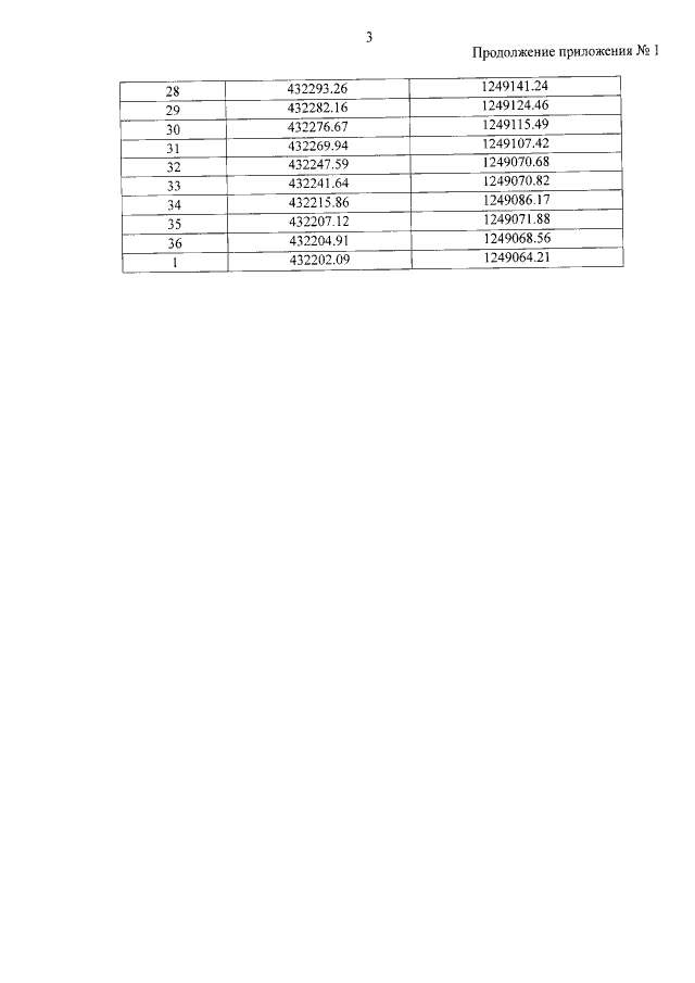
Приказ Управления по государственной охране объектов культурного наследия Тамбовской области от 18.10.2022 № 272
"О включении выявленного объекта культурного наследия "Архитектурный комплекс "Губернская земская больница" (Тамбовская область, г. Тамбов, ул.Московская, 27, 29, ул.Б.Васильева, 1, 5б) в единый государственный реестр объектов культурного наследия (памятников истории и культуры) народов Российской Федерации в качестве объекта культурного наследия регионального значения"
"О включении выявленного объекта культурного наследия "Архитектурный комплекс "Губернская земская больница" (Тамбовская область, г. Тамбов, ул.Московская, 27, 29, ул.Б.Васильева, 1, 5б) в единый государственный реестр объектов культурного наследия (памятников истории и культуры) народов Российской Федерации в качестве объекта культурного наследия регионального значения"
Номер опубликования: 6801202210190005
Дата опубликования:
19.10.2022
