Официальное опубликование правовых актов
ОФИЦИАЛЬНОЕ ОПУБЛИКОВАНИЕ
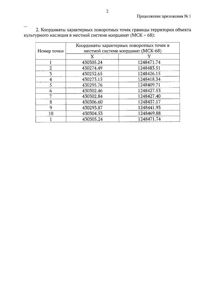
Приказ Управления по государственной охране объектов культурного наследия Тамбовской области от 18.10.2022 № 269
"О включении выявленного объекта культурного наследия "Доходный дом" (Тамбовская область, г. Тамбов, ул. Ленинградская, 15) в единый государственный реестр объектов культурного наследия (памятников истории и культуры) народов Российской Федерации в качестве объекта культурного наследия регионального значения"
Номер опубликования: 6801202210190002
Дата опубликования: 19.10.2022
Страница №4 из 5:
Увеличить