Официальное опубликование правовых актов
ОФИЦИАЛЬНОЕ ОПУБЛИКОВАНИЕ
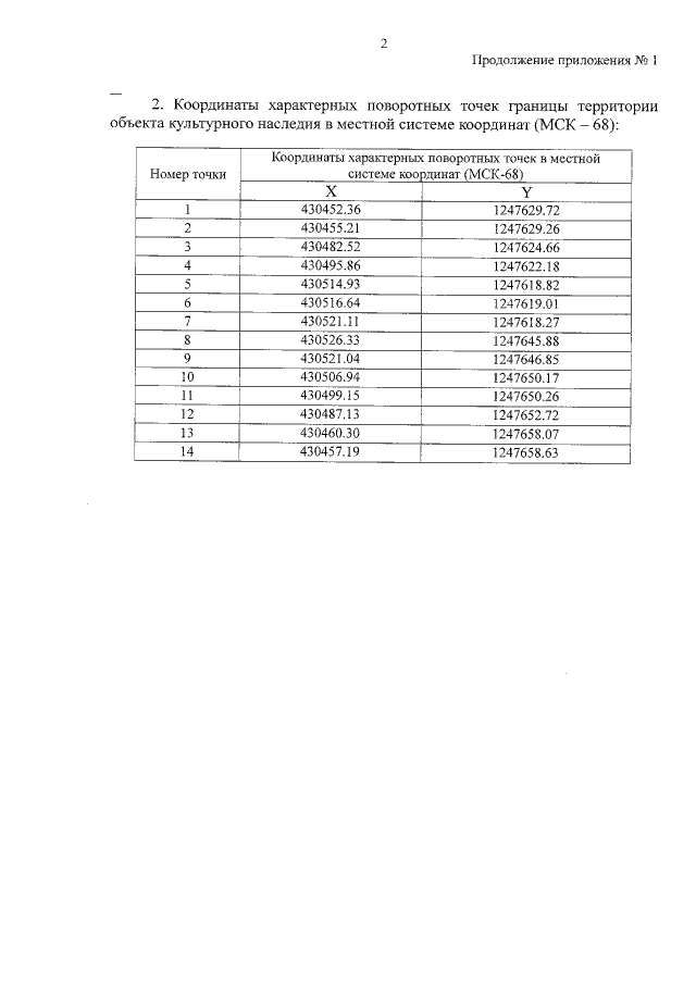
Приказ Управления по государственной охране объектов культурного наследия Тамбовской области от 09.08.2022 № 198
"О включении выявленного объекта культурного наследия "Комплекс доходных домов М.В.Асеева" (Тамбовская область, г. Тамбов, ул. М.Горького, д. 49) в единый государственный реестр объектов культурного наследия (памятников истории и культуры) народов Российской Федерации в качестве объекта культурного наследия регионального значения"
Номер опубликования: 6801202208090003
Дата опубликования: 09.08.2022
Страница №4 из 5:
Увеличить