Официальное опубликование правовых актов
ОФИЦИАЛЬНОЕ ОПУБЛИКОВАНИЕ
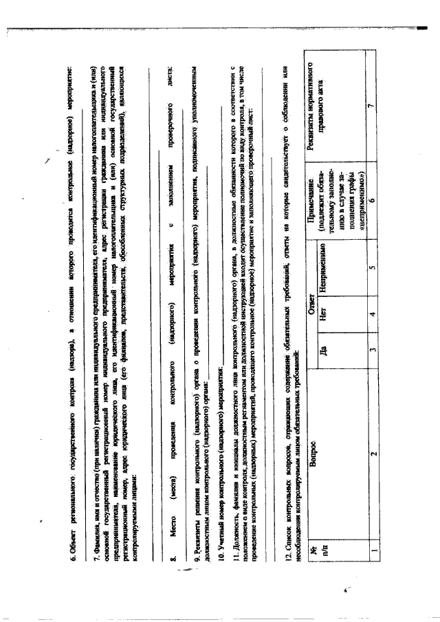
Приказ Управления ветеринарии Тамбовской области от 14.02.2022 № 30/1
"Об утверждении форм проверочных листов (списка контрольных вопросов, ответы на которые свидетельствуют о соблюдении или несоблюдении контролируемым лицом обязательных требований), применяемых управлением ветеринарии Тамбовской области при осуществлении регионального государственного контроля (надзора) в области обращения с животными"
Номер опубликования: 6801202202140003
Дата опубликования: 14.02.2022
Страница №22 из 27:
Увеличить