Официальное опубликование правовых актов
ОФИЦИАЛЬНОЕ ОПУБЛИКОВАНИЕ
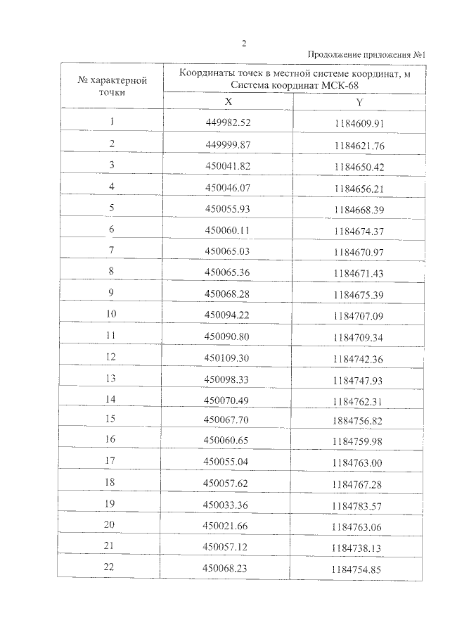
Приказ Управления по государственной охране объектов культурного наследия Тамбовской области от 03.02.2022 № 30
"Об установлении зон охраны объекта культурного наследия регионального значения "Комплекс застройки улицы" (Тамбовская область, г. Мичуринск, ул. Советская, д. 296‚ 298, 339 (ранее 337) и утверждении требований к градостроительным регламентам в границах территорий данных зон"
Номер опубликования: 6801202202100002
Дата опубликования: 10.02.2022
Страница №4 из 14:
Увеличить