Официальное опубликование правовых актов
ОФИЦИАЛЬНОЕ ОПУБЛИКОВАНИЕ
Приказ Комитета по управлению имуществом Тамбовской области от 17.01.2022 № 8
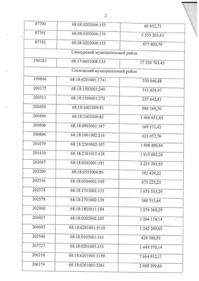
"О внесении изменений в приложение к приказу комитета по управлению имуществом области от 17.11.2020 № 667 "Об утверждении результатов определения кадастровой стоимости объектов недвижимости (за исключением земельных участков), расположенных на территории Тамбовской области"
Номер опубликования: 6801202201170003
Дата опубликования: 17.01.2022
Страница №3 из 5:
Увеличить