Приказ Управления по регулированию тарифов Тамбовской области от 06.12.2021 № 105-т
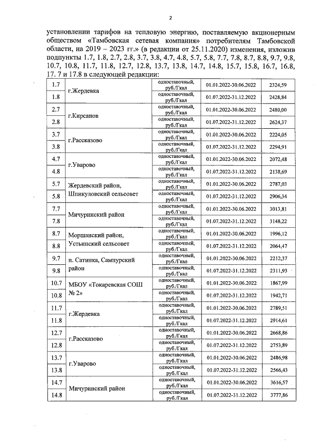
"О внесении изменений в приложение № 5 к приказу управления по регулированию тарифов Тамбовской области от 11.12.2018 № 130-т "Об утверждении нормативов технологических потерь при передаче тепловой энергии, теплоносителя по тепловым сетям и нормативов удельного расхода топлива при производстве тепловой энергии, определении долгосрочных параметров регулирования и установлении тарифов на тепловую энергию, поставляемую акционерным обществом "Тамбовская сетевая компания" потребителям Тамбовской области, на 2019-2023 гг."
"О внесении изменений в приложение № 5 к приказу управления по регулированию тарифов Тамбовской области от 11.12.2018 № 130-т "Об утверждении нормативов технологических потерь при передаче тепловой энергии, теплоносителя по тепловым сетям и нормативов удельного расхода топлива при производстве тепловой энергии, определении долгосрочных параметров регулирования и установлении тарифов на тепловую энергию, поставляемую акционерным обществом "Тамбовская сетевая компания" потребителям Тамбовской области, на 2019-2023 гг."
Номер опубликования: 6801202112070004
Дата опубликования:
07.12.2021
