Официальное опубликование правовых актов
ОФИЦИАЛЬНОЕ ОПУБЛИКОВАНИЕ
Приказ Управления по государственной охране объектов культурного наследия Тамбовской области от 09.11.2021 № 170
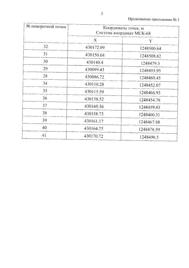
"Об установлении зон охраны объекта культурного наследия регионального значения "Дом Нарышкиной" (Тамбовская область, г. Тамбов, ул. Советская/Кронштадтская, д.80/11) и утверждении требований к градостроительным регламентам в границах территорий данных зон"
Номер опубликования: 6801202111100002
Дата опубликования: 10.11.2021
Страница №7 из 13:
Увеличить